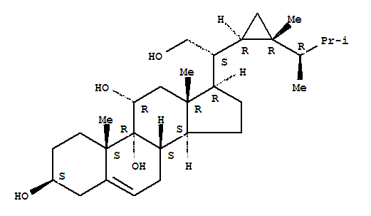
Gorgost-5-ene-3,9,11,21-tetrol,(3b,11a)- (9CI)(133883-21-3)
- Name: Gorgost-5-ene-3,9,11,21-tetrol,(3b,11a)- (9CI)
- Synonyms:Andamansterol
- Molecular Formula:C30H50 O4
- Molecular Weight:
- CAS Registry Number:133883-21-3
- EINECS:
- Melting Point:
- Water Solubility:
Other Product
- 18228-91-6/Phosphonamidic acid,P,P'-1,4-piperazinediylbis[N,N-bis(2-chloroethyl)-, dibenzyl ester (7CI,8CI)
- 95050-99-0/SL-procion
- 169238-31-7/4-Morpholinecarboximidamide,N,N'-dicyclohexyl-N-hydroxy-, hydrochloride (1:1)
- 112375-41-4/methyl (5Z)-7-methyloct-5-enoate
- 97752-40-4/2,2'-[ethylenebis[imino(3-ethoxy-4,1-phenylene)azo]]bis[3-methylthiazolium] sulphate
- 72214-37-0/Caprolactone, dimethylolpropionic acid, toluene diisocyanate, ethylenediamine polymer
- 51245-21-7/(3E,6E)-3-(phenylmethylidene)-6-(3-phenylprop-2-en-1-ylidene)piperazine-2,5-dione
- 14106-40-2/4,4'-(Ethene-1,2-diylidene)bis(2,6-di-tert-butyl-2,5-cyclohexadiene-1-one)
- 12052-28-7/COBALT IRON OXIDE
- 85154-18-3/2-[(2-hydroxy-1-methylethyl)methylamino]propan-2-ol
- 20672-70-2/3,4,6-tri-O-acetyl-1,2-O-[1-(propan-2-yloxy)ethylidene]hexopyranose
- 122984-73-0/Corazonin
- 144027-73-6/1H-Cycloprop[e]azulene,1a,2,3,7b-tetrahydro-1,1,4,7-tetramethyl- (9CI)
- 5490-28-8/N-(2,3-dihydro-1H-inden-5-yl)-N~2~-[2-(dimethylamino)-2-phenylethyl]glycinamide
- 72548-77-7/3,3-bis[4-(dimethylamino)phenyl]-6-(1-pyrrolidinyl)phthalide
- 3285-00-5/4-methyloctan-4-olide
- 6328-28-5/2-[(4-nitrophenyl)sulfonylamino]pentanedioic acid
- 95062-16-1/Piperazine,1-[bis(4-fluorophenyl)methyl]-4-(1-phenyl-2-propen-1-yl)-
- 7495-68-3/7-butyl-3,7-dihydro-6H-purine-6-thione
- 133883-21-3/Gorgost-5-ene-3,9,11,21-tetrol,(3b,11a)- (9CI)
- 5325-19-9/2-phenylnaphtho[2,3-d][1,3]thiazole
- 59276-12-9/1,2-dimethoxy-3-[2-(methylsulfanyl)-2-(methylsulfinyl)ethenyl]benzene
- 4412-41-3/2-methyl-N-(2-{2-[4-methyl-2-(prop-2-en-1-yl)phenoxy]ethoxy}ethyl)propan-2-amine
- 701-34-8/4-Bromobenzenesulfonamide
- 41177-66-6/7-METHYL-3,4-DIHYDRO-2H-BENZO[B]OXEPIN-5-ONE
- 53561-92-5/1,1-dimethylstannolane
- 83325-20-6/2-methyl-7-phenyl-1-(3,4,5-trimethoxyphenyl)-1,7-dihydro-6H-purin-6-one
- 29745-05-9/(3aR,4S,7R,7aS)-2-(2-fluorophenyl)hexahydro-1H-4,7-epoxyisoindole-1,3(2H)-dione
- 64144-98-5/2α,3β-[[(3aR,4S,7aR)-7,7a-Dihydro-4H-1,3-dioxolo[4,5-c]pyran-3a,4(6H)-diyl]bis(oxy)]-11α,14-dihydroxy-12-oxocarda-4,20(22)-dienolide
- 60012-96-6/2-[4-(3-Chlorobenzoyl)phenoxy]-2-methylpropanoic acid
