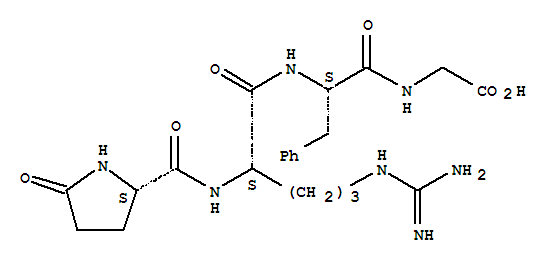
Glycine,5-oxo-L-prolyl-L-arginyl-L-phenylalanyl- (9CI)(103487-46-3)
- Name: Glycine,5-oxo-L-prolyl-L-arginyl-L-phenylalanyl- (9CI)
- Synonyms:Glycine,N-[N-[N2-(5-oxo-L-prolyl)-L-arginyl]-L-phenylalanyl]-; Peptide 9-10-10 (Rananigromaculata)
- Molecular Formula:C22H31 N7 O6
- Molecular Weight:
- CAS Registry Number:103487-46-3
- EINECS:
- Melting Point:
- Water Solubility:
Other Product
- 106864-99-7/(1-cyanoethyl)(dimethyl)silyl 2,3,6-trichlorobenzoate
- 57766-02-6/ethyl (1Z)-2-hydroxy-2-phenylethanimidoate
- 9073-79-4/RENNIN FROM MUCOR MIEHEI, LYOPHILIZED, ~ 0.1 U/MG
- 58813-68-6/2-Pyrrolidinone, 1-ethenyl-, polymer with ((2-(ethenyloxy)ethoxy)methyl)oxirane
- 58168-11-9/3-chloropropyl 4-nitrobenzoate
- 64332-33-8/4-O-[6-Amino-2-[(aminocarbonyl)amino]-2,3,6-trideoxy-α-D-ribo-hexopyranosyl]-6-O-(3-amino-3-deoxy-α-D-glucopyranosyl)-2-deoxy-D-streptamine
- 7357-68-8/2-amino-6-[(3,4-dimethylphenyl)amino]-5-nitrosopyrimidin-4(1H)-one
- 41916-19-2/Arsenenodithious acid(9CI)
- 54130-98-2/1-methoxy-5-oxo-6,7-dihydro-5H-benzo[7]annulen-2-yl acetate
- 35896-35-6/3,3-dimethylbicyclo[2.2.1]heptane-2-propionic acid
- 10040-98-9/4-(1H-Imidazol-1-yl)benzaldehyde
- 6338-48-3/2-[(6-methoxy-1,3-benzothiazol-2-yl)amino]-2-oxoethyl (2E)-3-(furan-2-yl)prop-2-enoate
- 62035-95-4/5-(3,4-dichlorophenyl)-1,3,4-oxadiazol-2-amine
- 34543-52-7/N,N-Dimethyl-β-(2-methylpropyl)benzeneethanamine
- 117039-04-0/3-(4-methoxyphenyl)-2-{[1-(morpholin-4-yl)-3-(2-oxopyrrolidin-1-yl)propan-2-yl]sulfanyl}quinazolin-4(3H)-one hydrochloride (1:1)
- 6481-90-9/1,3,5-trichloro-2-[3-(4-methoxyphenoxy)propoxy]benzene
- 68952-72-7/Oils, hay,coumarin-free
- 16603-07-9/1-(3,4-Dimethoxy-α-methylphenethyl)hydrazine
- 60284-34-6/nitric acid, nitridooxonium, rhodium, triphenylphosphonium
- 103487-46-3/Glycine,5-oxo-L-prolyl-L-arginyl-L-phenylalanyl- (9CI)
- 29418-55-1/(E)-bis(2,4-dimethoxyphenyl)diazene
- 98072-52-7/Matte, precious metal
- 13538-27-7/2-bromophenyl methylcarbamate
- 6531-35-7/2,3-DIMETHYLANTHRAQUINONE
- 1837-70-3/4-bromo-N-hexadecylbenzenesulfonamide
- 63025-02-5/(Z,E)-tetradeca-9,11-dien-1-ol
- 93842-93-4/methyl 2-[(2-methyl-1-oxoallyl)oxy]-1-methylethyltrimethylammonium sulphate
- 3380-95-8/1-[carboxy(phenyl)methyl]triaza-1,2-dien-2-ium
- 141358-59-0/Kaur-16-en-18-al,11,20-epoxy-7,11,14-trihydroxy-15-oxo-, (4b,7a,11a,14R)- (9CI)
- 197633-44-6/b-D-Galactopyranoside, (3b,4a,16b,21b)-13,28-epoxy-16,21,23-trihydroxyolean-11-en-3-ylO-b-D-glucopyranosyl-(1®2)-O-[b-D-glucopyranosyl-(1®3)]-6-deoxy- (9CI)
