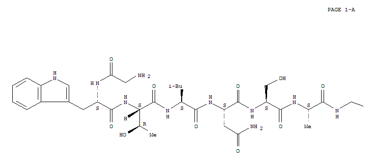
Galanin (cattle) (9CI)(116980-05-3)
- Name: Galanin (cattle) (9CI)
- Synonyms:Galanin(pig), 16-L-leucine-18-L-serine-23-L-glutamine-26-L-histidine-; Galanin (ox);L-Alaninamide,glycyl-L-tryptophyl-L-threonyl-L-leucyl-L-asparaginyl-L-seryl-L-alanylglycyl-L-tyrosyl-L-leucyl-L-leucylglycyl-L-prolyl-L-histidyl-L-alanyl-L-leucyl-L-a-aspartyl-L-seryl-L-histidyl-L-arginyl-L-seryl-L-phenylalanyl-L-glutaminyl-L-a-aspartyl-L-lysyl-L-histidylglycyl-L-leucyl-
- Molecular Formula:C141H211 N43 O40
- Molecular Weight:
- CAS Registry Number:116980-05-3
- EINECS:
- Melting Point:
- Water Solubility:
Other Product
- 123723-77-3/mannosylhydrazine
- 97190-69-7/5,6-dihydro-4H-1,3-thiazine-2-carbaldehyde
- 17745-04-9/IMIDAZO[1,2-A]PYRIDIN-3-YL-ACETIC ACID
- 1976-49-4/(1S)-7-[({2,3-dihydroxy-2-[(1R)-1-methoxyethyl]-3-methylbutanoyl}oxy)methyl]-1-{[(2E)-2-methylbut-2-enoyl]oxy}-2,3,5,7a-tetrahydro-1H-pyrrolizinium chloride (non-preferred name)
- 1117-97-1/N-methoxymethylamine
- 1784-16-3/4-amino-N-[2-(morpholin-4-yl)ethyl]benzenesulfonamide
- 88474-33-3/5-CHLORO-1 H-[1,2,3]TRIAZOLE-4-CARBOXYLIC ACID METHYL ESTER
- 2728-04-3/Benzamide, N,N-diethyl-2-methyl-
- 72598-34-6/2(1H)-Pyrazinone,1-hydroxy-6-(1-hydroxy-2- methylpropyl)-3-(2-methylpropyl)-
- 12652-01-6/Lead alloy,base,Pb,Cd,Cu,Ni,Sb,Sn (L10As)
- 9028-02-8/AMINOACYL-TRNA SYNTHETASE
- 9029-30-5/E.C. 1.6.6.6
- 68957-26-6/68188-80-7
- 63884-30-0/4-[2-(1,1-dimethylpiperidinium-4-yl)ethyl]-4-methylmorpholin-4-ium diiodide
- 24450-18-8/2-(1H-indol-2-ylsulfanyl)-N,N-dimethylethanamine
- 13011-47-7/Carbonochloridimidicacid (9CI)
- 1469-94-9/1-(2-HYDROXYPHENYL)-3-PHENYL-1,3-PROPANEDIONE
- 79313-22-7/1-ethyldibenzo[b,d]thiophene
- 116980-05-3/Galanin (cattle) (9CI)
- 129037-92-9/Brilliant Dentin resin
- 3112-79-6/1,3,5-trimethyl-2-(2,4,6-trimethylphenyl)sulfonyl-benzene
- 52616-28-1/sodium (2S)-2-[({3-[bis(2-chloroethyl)amino]-4-methylphenyl}carbonyl)amino]-3-hydroxypropanoate
- 24239-35-8/tetrasodium 4,4'-bis[4-(p-sulphonatophenyl)-2H-1,2,3-triazol-2-yl]stilbene-2,2'-disulphonate
- 91273-47-1/N-(3-Benzoylthio-2-methyl-1-oxopropyl)-N-(4-phenylcyclohexyl)glycine
- 82568-63-6/N-(4-hydroxyphenyl)heptan-1-amide
- 90146-05-7/3-(6-ethoxybenzothiazol-2-yl)-7-methoxy-2-oxo-2H-1-benzopyran-4-carbonitrile
- 135433-21-5/thermostable direct hemolysin
- 13477-23-1/CADMIUM SULFITE
- 91117-61-2/triiodide
- 14335-40-1/phosphorous chloride difluoride
