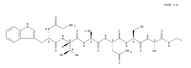
Galanin (Amia calva)(9CI)(158621-95-5)
- Name: Galanin (Amia calva)(9CI)
- Synonyms:L-Alaninamide,glycyl-L-tryptophyl-L-threonyl-L-leucyl-L-asparaginyl-L-seryl-L-alanylglycyl-L-tyrosyl-L-leucyl-L-leucylglycyl-L-prolyl-L-histidyl-L-alanyl-L-valyl-L-a-aspartyl-L-asparaginyl-L-histidyl-L-arginyl-L-seryl-L-leucyl-L-asparaginyl-L-a-aspartyl-L-lysyl-L-histidylglycyl-L-leucyl-
- Molecular Formula:C137H210 N44 O40
- Molecular Weight:
- CAS Registry Number:158621-95-5
- EINECS:
- Melting Point:
- Water Solubility:
Other Product
- 79771-27-0/1,3-Benzenedicarboxylic acid, polymer with (2E)-2-butenedioic acid,2,2-dimethyl-1,3-propanediol, hexanedioic acid, 2,2-oxybis(ethanol) and 1,2-propanediol
- 71277-22-0/1a-methyl-5,8-dimethylidene-9-oxododecahydrooxireno[9,10]cyclodeca[1,2-b]furan-4-yl acetate
- 34709-44-9/5-[(2-hydroxyphenyl)methylidene]-2-thioxo-1,3-thiazolidin-4-one
- 5992-66-5/Nalpha-(cyclopentylcarbonyl)-N-[5-(4-fluorophenyl)-1,3,4-thiadiazol-2-yl]phenylalaninamide
- 70321-62-9/Castor oil, dehydrated, polymer with bisphenol A, p-tert-butylbenzoic acid, epichlorohydrin, isophthalic acid, pentaerythritol, phthalic anhydrideand polyethylene glycol, compd. with triethylamine
- 94278-13-4/2-methoxyethyl docosanoate
- 51319-18-7/1-phenyl-2-(prop-2-en-1-ylamino)ethanol
- 5854-18-2/2-(1,3-dihydro-2H-benzimidazol-2-ylidene)-3-(4-nitrophenyl)-3-oxopropanenitrile
- 171927-48-3/4,12-Tetradecadiene-1,8,9-triol,5,9,13-trimethyl-1-[tetrahydro-5-(1-hydroxy-1,5-dimethyl-4-hexenyl)-2-methyl-2-furanyl]-(9CI)
- 70815-29-1/Formaldehyde, polymer with 1-methyl-4-(1-methylethylidene)cyclohexane and phenol
- 20538-25-4/2-(diphenylamino)-2-oxo-1-phenylethyl acetate
- 97400-83-4/6H,8H-6a,8a,15,18-Tetraazaindeno[2'',1'':5',6']naphtho[2',3':5,6]cyclohepta[1,2,3-jk]fluoren-3-ol,5,13,14,15,15a,16,16a,17,17a,18-decahydro-8,15-dimethyl- (9CI)
- 67461-77-2/4-(phenylamino)quinazolin-2(1H)-one
- 27797-28-0/Benzoic acid,2-[(sulfodioxy)carbonyl]-
- 70546-10-0/7-(diethylamino)-3-(5-methyl-1,3-benzoxazol-2-yl)-2-oxo-2H-chromene-4-carbonitrile
- 90000-67-2/2,6-dimethyl-1H-pyridine-4-thione
- 57241-11-9/4-bromo-N-(2H-1,2,3-triazol-4-yl)benzenesulfonamide
- 6325-62-8/4-methoxy-N-[(1E)-1-(4-methoxyphenyl)ethylidene]aniline
- 158621-95-5/Galanin (Amia calva)(9CI)
- 17312-57-1/DODECANE,3-METHYL-
- 5700-38-9/3,6,8,11-Tetraoxa-7-silatridecane,7-(2-ethoxyethoxy)-
- 63286-84-0/N-(4-{[4-(2,3-dihydroxypropoxy)acridin-9-yl]amino}-3-methoxyphenyl)methanesulfonamide hydrochloride
- 21383-22-2/3-hydrazinyl-1,2,4-triazin-5(2H)-one
- 51472-73-2/1-chloro-2-{[2-({2-[(2-chloroethyl)sulfanyl]ethyl}sulfanyl)ethyl]sulfanyl}ethane
- 52632-26-5/ethyl 2-cyano-3-hydrazinoacrylate
- 40939-72-8/Benzene,1,1'-sulfonylbis[2-chloro-4-isothiocyanato-
- 73710-74-4/methyl 2,3-dihydro-1H-pyrrolizine-7-carboxylate
- 39830-66-5/Methyl indole-4-carboxylate
- 40630-22-6/1,1,1,2,2,3,3,4,4-nonafluoro-4-(methylsulfonyl)butane
- 3056-18-6/9-[2,3,5-TRI-O-ACETYL-BETA-D-RIBOFURANOSYL]-2,6-DICHLOROPURINE
