Gaegurin 3 (reduced)(9CI)(160299-69-4)
- Name: Gaegurin 3 (reduced)(9CI)
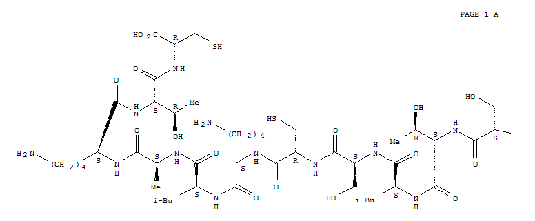
- Synonyms:18: PN: WO03035677FIGURE: 6 unclaimed sequence; 502: PN: US20070207209 SEQID: 502 unclaimedprotein; L-Cysteine,glycyl-L-isoleucyl-L-methionyl-L-seryl-L-isoleucyl-L-valyl-L-lysyl-L-a-aspartyl-L-valyl-L-alanyl-L-lysyl-L-threonyl-L-alanyl-L-alanyl-L-lysyl-L-a-glutamyl-L-alanyl-L-alanyl-L-lysylglycyl-L-alanyl-L-leucyl-L-seryl-L-threonyl-L-leucyl-L-seryl-L-cysteinyl-L-lysyl-L-leucyl-L-alanyl-L-lysyl-L-threonyl-
- Molecular Formula:C142H255 N39 O44 S3
- Molecular Weight:
- CAS Registry Number:160299-69-4
- EINECS:
- Melting Point:
- Water Solubility:
Other Product
- 179862-50-1/Naphtho[2,3-b]furan-2(4H)-one,6-(acetyloxy)- 4a,5,6,7-tetrahydro-7-hydroxy-3,4a,5- trimethyl-,(4aR,5R,6R,7S)-
- 104669-03-6/3,6,7-trihydroxy-9-oxo-9H-xanthen-1-yl 6-deoxy-beta-D-glucopyranoside
- 69989-68-0/4-Piperidinecarboxylic acid,3-methyl-4-[(1-oxopropyl)phenylamino]-1-(2-phenylethyl)-, methyl ester,(3R,4R)-rel-
- 6006-58-2/1-[(4-chlorophenyl)carbonyl]-3-ethyl-5-pyridin-4-yl-4,5-dihydro-1H-pyrazol-5-ol
- 167875-43-6/Lanost-8-ene-2,3,21,25-tetrol,21,24-epoxy-, 3-acetate 2-[4-hydrogen (2S)-2-hydroxy-2-methylbutanedioate], (2a,3b,20S,24R)- (9CI)
- 66932-98-7/2-[4-(diphenylmethyl)piperazin-1-yl]-1-(2,4,6-trimethoxyphenyl)ethanone dihydrochloride
- 38860-52-5/p-Nitrobenzoic acid piperidino ester
- 17463-43-3/3,3,3-Trifluoro-DL-alanine
- 58591-30-3/Trypsin inhibitor, inhitrypsin
- 67634-08-6/tetrahydro-alpha-pentylfurfuryl acetate
- 78249-71-5/21H-Biline-8,12-dipropanoic acid,18-ethenyl-3-ethylidene-1,2,3,19,22,24- hexahydro-2,7,13,17-tetramethyl-1,19-dioxo-
- 64976-98-3/ethyl 3-{2-[bis(2-chloroethyl)amino]phenoxy}propanoate
- 6606-48-0/3-bromo-N-[(3,5-dimethylphenyl)carbamothioyl]benzamide
- 1666-74-6/o-(allyloxy)phenetole
- 162067-05-2/3-9-Neuromedin C (swinespinal cord), N-acetyl-7-D-alanine-, ethyl ester (9CI)
- 92134-98-0/Fosphenytoin sodium
- 6494-99-1/1,3,5-Triazine-2,4-diamine,N2-ethyl-N4-(1-methylethyl)-6-phenoxy-
- 160730-43-8/(8beta,10xi)-6-methyl-8-[(4-phenyl-1H-imidazol-1-yl)methyl]ergoline
- 55301-82-1/1-(8-formyl-10,11-dihydrodibenzo[b,f]thiepin-10-yl)-4-methylpiperazin-1-ium (2Z)-3-carboxyprop-2-enoate
- 160299-69-4/Gaegurin 3 (reduced)(9CI)
- 15441-59-5/3a,4,5,6a-Tetrahydro-6a-methylfuro[2,3-b]furan-2(3H)-one
- 9030-46-0/E.C. 2.6.1.17
- 6049-75-8/N-[4-(azepan-1-ylsulfonyl)phenyl]biphenyl-4-carboxamide
- 99749-20-9/Naphthalenesulfonic acids, mono- and bis(branched and linear Bu derivs.), ammonium sodium salts
- 70879-63-9/Copper, 4-(bis(4-(dimethylamino)phenyl)methyl)-N-ethyl-1-naphthalenamine complexes, ferrocyanides
- 158553-35-6/1-{2-[5-(4-methoxyphenyl)-2H-tetrazol-2-yl]ethyl}piperidine phosphate
- 103744-88-3/Benzoic acid,2-(5,10-dihydro-2,3,7,8-tetrahydroxy-5,10-dioxo[1]benzopyrano[5,4,3-cde][1]benzopyran-1-yl)-3,4,5-trihydroxy-
- 536-90-3/m-Anisidine
- 155836-06-9/â-D-Glucopyranosiduronic acid,(3â,16R,21â,22R)-16,21,22,28-tetrahydroxyolean- 12-en-3-yl O-R-L-arabinopyranosyl-(1f3)-O-[â-Dgalactopyranosyl-( 1f2)]-
- 157938-48-2/Eristostatin (reduced)(9CI)
