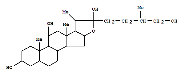
Furostan-3,11,22,26-tetrol,(3b,5b,11a,26R)- (9CI)(152340-73-3)
- Name: Furostan-3,11,22,26-tetrol,(3b,5b,11a,26R)- (9CI)
- Synonyms:1H-Naphth[2',1':4,5]indeno[2,1-b]furan,furostan-3,11,22,26-tetrol deriv.; Furonogiragenin
- Molecular Formula:C27H46 O5
- Molecular Weight:
- CAS Registry Number:152340-73-3
- EINECS:
- Melting Point:
- Water Solubility:
Other Product
- 25988-90-3/2-Propenoic acid, butyl ester, polymer with 1,1-dichloroethene and methyl 2-propenoate
- 90274-24-1/Ractopamine hydrochloride
- 4815-41-2/2-Acetylamino-4-methyl-3,5-thiophenedicarboxylic acid diethyl ester
- 124673-58-1/Spiro[7,10-methano-9H-benzo[a]cyclopenta[d]cyclooctene-9,3'(2'H)-naphtho[2,3-b]furan]-2'-one,1,2,3,3a,3'a,4,4',4'a,5,6,7,7',8,8',8'a,9',9'a,10,11,11a-eicosahydro-5',6,8'a,10,11a-pentamethyl-3-(1-methylethyl)-,(3R,3'R,3aS,3'aS,4'aS,6S,7R,8'aS,9'aS,10R,11aR)- (9CI)
- 124444-85-5/1-(2-methylphenyl)-4-(pyridin-3-ylcarbonyl)piperazine dihydrochloride
- 713-63-3/4-[(1,1,2,2-tetrafluoroethyl)sulfanyl]aniline
- 18783-43-2/Pacodine
- 6308-33-4/4-(butylsulfanyl)-6-methylpyrimidin-2-amine
- 5665-49-6/1H-Oxireno[4,4a]phenanthro[1,2-c]furan-7,9- dione
- 933-76-6/4,5-DICHLORO-2-METHYLPYRIDAZIN-3-ONE
- 1720-37-2/2-(hex-5-yn-1-yloxy)tetrahydro-2H-pyran
- 62406-71-7/2,4,6-trichloro-3-nitroaniline
- 4189-78-0/3-(dimethylamino)-2-methyl-1-(4-methylphenyl)-1-phenylpropan-1-ol ethanedioate (1:1)
- 83732-71-2/3-amino-6-methoxy-2-pyridone hydrochloride
- 5469-99-8/2-[(4-methylphenyl)amino]-1,1,2-triphenylethanol
- 114613-62-6/8,14-Methano-2H,14H-1-benzopyrano[7,8-d][1,3]benzodioxocin-3,5,11,13,15-pentol,2,8-bis(3,4-dihydroxyphenyl)-10-[(2R,3R,4R)-2-(3,4-dihydroxyphenyl)-3,4-dihydro-3,5,7-trihydroxy-2H-1-benzopyran-4-yl]-3,4-dihydro-,(2R,3R,8R,14R,15R)- (9CI)
- 21224-52-2/S-(2-{[4-(4-hydroxyphenyl)butyl]amino}ethyl) hydrogen sulfurothioate
- 80483-16-5/2,6-Anhydro-1,5-dideoxy-L-arabino-hexa-5-enitol
- 16684-36-9/2-[(2-{[(benzyloxy)carbonyl]amino}propanoyl)amino]-2-deoxyhexopyranose
- 152340-73-3/Furostan-3,11,22,26-tetrol,(3b,5b,11a,26R)- (9CI)
- 174648-45-4/Sch 63390
- 50773-43-8/Pregna-5,16-dien-20-one,3-[(O-6-deoxy-RL- mannopyranosyl-(1f2)-O-[6-deoxy-R-Lmannopyranosyl-( 1f4)]-â-D-glucopyranosyl)- oxy]-,(3â)-
- 12070-08-5/Titanium carbide
- 109495-27-4/ethyl-[2-[2-[2-(ethyl-dimethyl-ammonio)ethoxy]ethoxy]ethyl]-dimethyl-azanium diiodide
- 59286-19-0/Prosta-5,13-dien-1-oic acid, 15-methyl-9,11,15-trihydroxy-, (5Z,9-alpha,11-alpha,13E,15S)-, (+-)-
- 58137-33-0/(αS)-α-Amino-6-[[(E)-4-hydroxy-3-methyl-2-butenyl]amino]-9H-purine-9-propionic acid
- 4267-75-8/17β-Hydroxy-2α-methyl-5α-estran-3-one
- 35535-29-6/4-(morpholin-4-yl)-1-(2,4,6-trimethoxyphenyl)butan-1-one hydrochloride (1:1)
- 84430-16-0/2',3'-O (2,4,6-trinitrocyclohexadienylidine)adenosine 5'-monophosphate
- 39217-32-8/D-5-ketofructose 1,6-biphosphate
