Fibrinopeptide A(chicken) (9CI)(67197-12-0)
- Name: Fibrinopeptide A(chicken) (9CI)
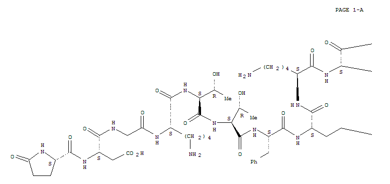
- Synonyms:L-Arginine,5-oxo-L-prolyl-L-a-aspartylglycyl-L-lysyl-L-threonyl-L-threonyl-L-phenylalanyl-L-a-glutamyl-L-lysyl-L-a-glutamylglycylglycylglycylglycyl-
- Molecular Formula:C64H100 N20 O25
- Molecular Weight:
- CAS Registry Number:67197-12-0
- EINECS:
- Melting Point:
- Water Solubility:
Other Product
- 16424-89-8/Acetic acid,2,2,2-trifluoro-, tin(4+) salt (4:1)
- 88061-90-9/7,9-dibromo-2,5-dipropoxy-1,3,4,6,9b-pentaazaphenalene
- 50850-95-8/5,6-DIETHOXY-1,3-BENZOTHIAZOL-2-AMINE
- 6959-97-3/1H-Pyrrole-2,5-dione,1,1'-(1,5-naphthalenediyl)bis[3,4-dichloro-
- 102092-47-7/Antazyme
- 5413-09-2/3-methoxyhexanoic acid
- 13720-13-3/alpha,2,2-trimethyl-6-methylenecyclohexanepropanol
- 13575-86-5/6-aminotetralin-2,3-diol
- 50869-11-9/[1,4]dithiino[2,3-b]pyrazine-2,3-dicarbonitrile
- 8047-39-0/Kaopectate
- 85178-74-1/6-bromo-2-[(4-nitrobenzyl)oxy]-3-(1,3-thiazol-2-yl)quinazolin-4(3H)-one
- 93857-92-2/3-cyclohexylpropyl isovalerate
- 80233-19-8/Juliprosine
- 52756-50-0/3,3-dimethylbutan-2-one N-methylthiosemicarbazone
- 85239-23-2/1-Piperazineethanol, 4-(2-methylphenyl)-alpha-((8-quinolinyloxy)methyl )-
- 109031-00-7/Oxayohimban-1-carboxylicacid, 17-hydroxy-19-methyl-, methyl ester, (17a,19a)- (9CI)
- 1711-10-0/3-Iodobenzoyl chloride
- 93686-58-9/Zinc oxide (ZnO), calcined
- 86098-92-2/2,4,6-Tris[N,N-bis(isopropylthio)amino]-1,3,5-triazine
- 67197-12-0/Fibrinopeptide A(chicken) (9CI)
- 7698-94-4/[1,2,5]Selenadiazolo[3,4-d]pyrimidin-7(3H)-one
- 66780-94-7/Rifamycin XII,1',2'-didehydro-2'-(2-furanyl)-2',3'-dihydro-3'-phenyl- (9CI)
- 5700-74-3/ETOC-PRO-OH
- 158275-00-4/Cholest-9(11)-en-23-one,6-[(O-6-deoxy-b-D-glucopyranosyl-(1®2)-O-[b-D-xylopyranosyl-(1®4)]-O-b-D-xylopyranosyl-(1®3)-b-D-glucopyranosyl)oxy]-20-hydroxy-3-(sulfooxy)-,monosodium salt, (3b,5a,6a)- (9CI)
- 36142-60-6/2-(diethylamino)ethyl 4-(3-cyclohexyl-3-methyltriazanylidene)-4H-imidazole-5-carboxylate
- 149882-19-9/L-threo-Pentitol,2,5-anhydro-1,3,4-trideoxy-2-C-(2,4-difluorophenyl)-4-[[4-[4-[4-[1,5-dihydro-1-[(1S)-1-methylpropyl]-5-oxo-4H-1,2,4-triazol-4-yl]phenyl]-1-piperazinyl]phenoxy]methyl]-1-(1H-1,2,4-triazol-1-yl)-(9CI)
- 93572-82-8/1-Butanamine, reactionproducts with vermiculite, magnesium-exchanged
- 70851-59-1/Bis(2,2,6,6-tetramethyl-4-piperidinecarboxylic acid)1,4-cyclohexanediylbis(methylene) ester
- 28234-85-7/3-pentopyranosyl-2,3-dihydro-7H-[1,2,3]triazolo[4,5-d]pyrimidin-7-one
- 62052-65-7/6-{[(2-{2-(1-methylethoxy)-1-[(1-methylethoxy)carbonyl]-2-oxoethylidene}-1,3-dithiolan-4-yl)oxy]carbonyl}cyclohex-3-ene-1-carboxylic acid
