FD&CBLUENO.1PEGDERIVATIVE(9079-33-8)
- Name: FD&CBLUENO.1PEGDERIVATIVE
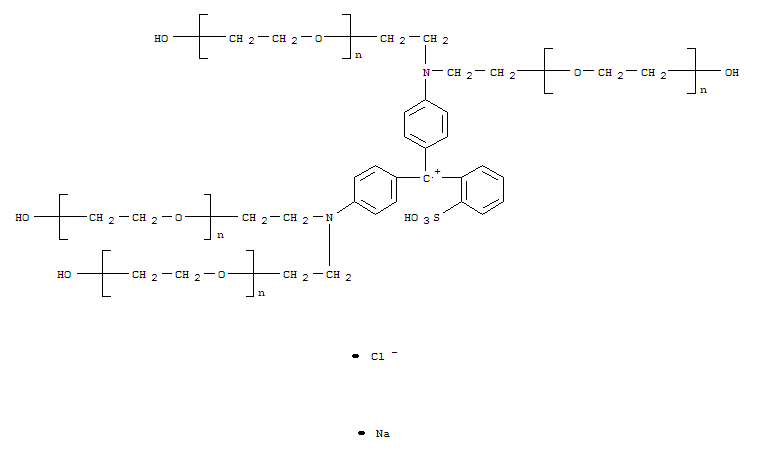
- Synonyms:Poly(oxy-1,2-ethanediyl),a,a',a'',a'''-[[(2-sulfophenyl)methyliumylidene]bis(4,1-phenylenenitrilodi-2,1-ethanediyl)]tetrakis[w-hydroxy-, chloride, monosodiumsalt (9CI)
- Molecular Formula:(C2H4 O)n (C2 H4 O)n (C2 H4 O)n (C2 H4 O)n C27 H33 N2 O7 S . Cl . Na
- Molecular Weight:763.27019
- CAS Registry Number:9079-33-8
- EINECS:
- Melting Point:
- Water Solubility:
Other Product
- 97682-67-2/Kesselringinium,6,6a-didehydro-
- 76267-10-2/N-(4-chlorophenyl)-N-ethyldicarbonimidic diamide
- 14593-11-4/N-Ethyl-N-(3-hydroxy-1,3,3-triphenylpropyl)acetamide
- 72189-68-5/Hydrazinecarboximidamide, N-phenyl-, mononitrate
- 51833-50-2/dipyrrolidin-1-ylphosphinic chloride
- 35447-33-7/2-Butenoic acid,3-[[(ethylamino)methoxyphosphinyl] oxy]-,methyl ester,(2E)-
- 31076-39-8/Cedeodarin
- 83014-44-2/QUIN 2
- 76487-51-9/5-(ACETYLAMINO)-9-AZIDO-3,5,9-TRIDEOXY-D-GLYCERO-D-GALCTO-2-NONULOSONIC ACID
- 98051-90-2/2,2-Dithiobis(N-(ethoxycarbonyl)methyl)benzamide)
- 84743-54-4/(3aR,4S,5aS,9aR,9bR)-5a-methyl-3,9-dimethylidene-2,8-dioxo-2,3,3a,4,5,5a,8,9,9a,9b-decahydronaphtho[1,2-b]furan-4-yl acetate
- 17700-32-2/1-[(2-{[2-(butylsulfanyl)ethyl]sulfonyl}ethyl)sulfanyl]butane
- 81425-71-0/1,2-DIHEXADECANOYL-SN-GLYCERO-3-PHOSPHO-[N-DANSYL]ETHANOLAMINE
- 6297-95-6/S-[3-amino-2-(1,3-dioxo-1,3-dihydro-2H-isoindol-2-yl)-3-oxopropyl] benzenecarbothioate
- 68052-30-2/Bisphenol A, epichlorohydrin, succinic anhydride polymer, N,N-dimethylethanolamine salt
- 5814-00-6/(2Z)-2-[4-(3,4-dimethoxyphenyl)-1,3-thiazol-2-yl]-3-[(2,3-dimethylphenyl)amino]prop-2-enenitrile
- 16053-36-4/3'-(TRIFLUOROMETHYL)PHTHALANILIC ACID
- 66421-14-5/7-(7,8,9-Trihydroxy-7,8,9,10-tetrahydrobenzo(a)-pyren-10-yl)guanine
- 23236-18-2/5-[(3-ETHYL-2(3H)-BENZOXAZOLYLIDENE)ETHYLIDENE]-4-OXO-2-THIOXO 3-THIAZOLIDINEACETIC ACID
- 9079-33-8/FD&CBLUENO.1PEGDERIVATIVE
- 61436-47-3/178461-53-5
- 13442-10-9/8-METHYL-4-HYDROXYLAMINOQUINOLINE1-OXIDE
- 4936-06-5/2-chloro-
- 10101-58-3/COBALT TUNGSTATE
- 69748-99-8/(2S,3bα,9aS,11aα)-2α-(3-Furyl)-2,3,4,5-tetrahydro-10α-hydroxy-13-methylene-11aH-3aα,9α-ethanodifuro[2,3-c:3',4'-i][2]benzopyran-7(3bH)-one
- 2213-84-5/DOWCO159
- 32998-04-2/6-chloro-N,N-dimethyl-1,3,5-triazine-2,4-diamine
- 70643-61-7/7 alpha,12 alpha-dihydroxy-3-oxopregna-1,4-diene-20-carboxylic acid
- 107313-47-3/N-[2-(1H-BENZOIMIDAZOL-2-YL)-ETHYL]-BENZAMIDE
- 16419-28-6/sodium (2R,3S,4R,5R)-2-({[{[{[(2R,3R,4S,5S,6S)-6-carboxy-3,4,5-trihydroxytetrahydro-2H-pyran-2-yl]oxy}(hydroxy)phosphoryl]oxy}(hydroxy)phosphoryl]oxy}methyl)-5-(2,4-dioxo-3,4-dihydropyrimidin-1(2H)-yl)-4-hydroxytetrahydrofuran-3-olate (non-preferred name)
