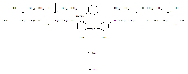
FD&CBLUENO.1METHYL-PEGDERIVATIVE(9079-34-9)
- Name: FD&CBLUENO.1METHYL-PEGDERIVATIVE
- Synonyms:Poly(oxy-1,2-ethanediyl),a,a',a'',a'''-[[(2-sulfophenyl)methyliumylidene]bis[(3-methyl-4,1-phenylene)nitrilodi-2,1-ethanediyl]]tetrakis[w-hydroxy-, chloride, monosodiumsalt (9CI)
- Molecular Formula:(C2H4 O)n (C2 H4 O)n (C2 H4 O)n (C2 H4 O)n C29 H37 N2 O7 S . Cl . Na
- Molecular Weight:0
- CAS Registry Number:9079-34-9
- EINECS:
- Melting Point:
- Water Solubility:
Other Product
- 141684-45-9/1-[(6R,8R,9R)-4-amino-9-{[tert-butyl(dimethyl)silyl]oxy}-6-({[tert-butyl(dimethyl)silyl]oxy}methyl)-2,2-dioxido-1,7-dioxa-2-thiaspiro[4.4]non-3-en-8-yl]-5-methylpyrimidine-2,4(1H,3H)-dione
- 78155-92-7/6-acetyl-1-[3-(dimethylamino)propyl]-3-methylquinoxalin-2(1H)-one
- 11148-32-6/Iron alloy, Fe,Ni
- 3377-92-2/VINYL PIVALATE
- 68529-45-3/co-amilozide
- 4572-95-6/2-ethylhexanoic acid, compound with 2,4,6-tris[(dimethylamino)methyl]phenol (3:1)
- 93981-54-5/[2,2-bis(hexyloxy)ethyl]benzene
- 36297-22-0/(E)-2-Bromo-2-butenoic acid
- 66922-67-6/N-Ethyl-N-(p-ethoxyphenyl)acetamide
- 73435-45-7/NADX
- 14119-05-2/(~144~Pr)praseodymium
- 32743-18-3/1-[2-(PIPERIDIN-1-YLMETHYL)PHENYL]METHANAMINE
- 35450-87-4/4H-1-Benzopyran-4-one,7-[[6-O-(6-deoxy- R-L-mannopyranosyl)-â-D-glucopyranosyl]- oxy]-2-(3,4-dihydroxyphenyl)-6-â-Dglucopyranosyl- 5-hydroxy-
- 127595-11-3/8-methyl-8-azabicyclo[3.2.1]oct-3-yl 3-ethyl-2-oxo-2,3-dihydro-1H-benzimidazole-1-carboxylate hydrochloride (1:1)
- 7647-57-6/spiro[2.5]oct-4-ene
- 60819-41-2/2-[[4,6-Bis(1-aziridinyl)-1,3,5-triazin-2-yl]amino]-1,3-propanediol
- 131899-25-7/1-[(3S,4R)-3-hydroxy-2,2-dimethyl-6-(pentafluoroethyl)-3,4-dihydro-2H-chromen-4-yl]piperidin-2-one
- 7631-61-0/N-[(4-Amino-2-methyl-5-pyrimidinyl)methyl]-N-[2-[(2-benzoylvinyl)thio]-4-hydroxy-1-methyl-1-butenyl]formamide
- 9079-34-9/FD&CBLUENO.1METHYL-PEGDERIVATIVE
- 59851-25-1/phenanthraquinone monothiosemicarbazone
- 129981-36-8/sampatrilat
- 5641-18-9/5,7-dichloro-2-methylquinolin-8-yl 2,3-dihydro-1,4-benzodioxin-6-ylacetate
- 41744-40-5/SULBENICILLIN
- 98532-85-5/1-{[2-(1-benzofuran-2-yl)-5-ethyl-4-propyl-1,3-dioxan-2-yl]methyl}-1H-1,2,4-triazole
- 55106-64-4/5,10,15,20-pyromellitoyl(tetrakis(2-oxyethoxyphenyl))porphyrin
- 78218-48-1/2-chloro-N-(3-chloropropyl)propan-1-amine hydrochloride
- 5246-13-9/5-bromo-N-(2-nitrophenyl)furan-2-carboxamide
- 78280-24-7/3,4-(Monobenzyl-2-keto-imidazolido)-1,2-trimethylene-thiophanium chloride
- 160568-14-9/zarzissine
- 62213-40-5/Kinase (phosphorylating),pseudouridine
