Current position:Home >Product >
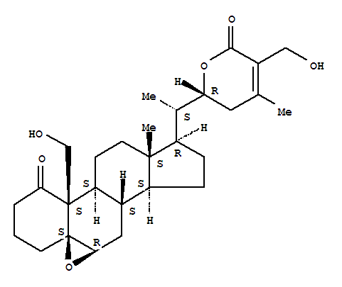
Ergost-24-en-26-oicacid, 5,6-epoxy-19,22,27-trihydroxy-1-oxo-, d-lactone, (5b,6b,22R)- (9CI)
Ergost-24-en-26-oicacid, 5,6-epoxy-19,22,27-trihydroxy-1-oxo-, d-lactone, (5b,6b,22R)- (9CI)(172430-79-4)
- Name: Ergost-24-en-26-oicacid, 5,6-epoxy-19,22,27-trihydroxy-1-oxo-, d-lactone, (5b,6b,22R)- (9CI)
- Synonyms:JaborosalactoneW
- Molecular Formula:C28H40 O6
- Molecular Weight:
- CAS Registry Number:172430-79-4
- EINECS:
- Melting Point:
- Water Solubility:
Other Product
- 88598-60-1/(9S,10S)-1-nitro-9,10-dihydrobenzo[pqr]tetraphene-9,10-diol
- 62805-40-7/7-chloro-N-(ethoxycarbonyl)-3-pentofuranosyl-3H-[1,2,3]triazolo[4,5-b]pyridin-5-amine
- 219308-41-5/Hexadecanamide,N-[(1S,2R,3E,7E,9E)-1-[(b-D-glucopyranosyloxy)methyl]-2-hydroxy-8-methyl-3,7,9-heptadecatrien-1-yl]-2-hydroxy-,(2R)-
- 16360-80-8/1,5,2,6-Dioxadiphosphocane,2,6-dihydroxy-4,8-diphenyl-, 2,6-dioxide
- 120144-70-9/Phosphorodiamidic acid,N,N'-bis(2-chloroethyl)-, 3-oxopropyl ester
- 4113-87-5/2-(2,4-dioxo-3,4-dihydropyrimidin-1(2H)-yl)-N-phenylacetamide
- 107328-14-3/2-BENZYLAMINO-N-CYCLOHEXYL-SUCCINAMIC ACID
- 57943-41-6/(17S,20S)-5α-Pregnane-3β,12β,14β,17,20-pentol 12,20-diacetate
- 19157-80-3/4-[2-(4-nitrophenoxy)ethoxy]aniline
- 92754-66-0/3-methyl-2'-deoxyguanosine
- 2511-11-7/1-(ethyl-ethylsulfanyl-phosphoryl)oxyethane
- 128331-48-6/Glycerol 3-oxooctanoate
- 6947-67-7/1-(dichloromethyl)-1-methylnaphthalen-2(1H)-one
- 39168-58-6/2,2'-Bi-9H-fluorene
- 31380-12-8/octandrenolone
- 181186-39-0/Silsesquioxanes, Ph,hydroxy-terminated
- 70074-20-3/Octanedioic acid,bis[[1-[4-[(3-amino-2,3,6-trideoxy-a-L-lyxo-hexopyranosyl)oxy]-1,2,3,4,6,11-hexahydro-2,5,12-trihydroxy-7-methoxy-6,11-dioxo-2-naphthacenyl]ethylidene]hydrazide],dihydrochloride, [2S-[2a(2R*,4R*),4a]]-(9CI)
- 90459-28-2/Neoundecanoic acid,lead salt, basic
- 6340-81-4/(2-oxo-1,2-diphenyl-ethyl) 2-phenylacetate
- 172430-79-4/Ergost-24-en-26-oicacid, 5,6-epoxy-19,22,27-trihydroxy-1-oxo-, d-lactone, (5b,6b,22R)- (9CI)
- 33852-21-0/13H-Pyrido[1',2':3,4]imidazo[2,1-b]quinazolin-13-one,2-chloro-7,8,9,10,10a,11-hexahydro-
- 34432-91-2/2-(3-hydroxy-2-quinolyl)-5-phenyl-1H-indene-1,3(2H)-dione
- 30838-58-5/N,N-Dimethyl-2-[2-[2-(2-pyridinyl)ethyl]phenoxy]ethanamine
- 80318-20-3/(E)-1-morpholin-4-yl-4-(4-prop-2-enoxyphenyl)but-3-en-2-ol hydrochlori de
- 129783-13-7/Fatty acids, C16-18 and C18-unsatd., branched and linear, polymers with p-tert-butylbenzoic acid, peanut-oil fatty acids, pentaerythritol and phthalic anhydride
- 39342-40-0/Slovapon N
- 29437-10-3/Azelaic acid, trimethylolpropane, neopentyl glycol polymer
- 91079-79-7/Protein hydrolyzates,aorta
- 20743-99-1/1-(hexadecyloxy)-4-methoxybenzene
- 41546-43-4/L-Apio-β-L-furanose
