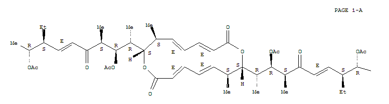
Efomycin T(129666-87-1)
- Name: Efomycin T
- Synonyms:
- Molecular Formula:
- Molecular Weight:
- CAS Registry Number:129666-87-1
- EINECS:
- Melting Point:
- Water Solubility:
Other Product
- 68109-72-8/DIETHYLAMINE PHOSPHATE
- 51706-40-2/4-[2-hydroxy-3-[(isopropyl)amino]propoxy]phenylacetamide hydrochloride
- 5360-56-5/1-(4-tert-butylphenoxy)-3-(diethylamino)propan-2-ol hydrochloride
- 5613-39-8/2-(ethylsulfanyl)ethyl 4-(4-chlorophenyl)-6-methyl-2-oxo-1,2,3,4-tetrahydropyrimidine-5-carboxylate
- 117-02-2/1,3-DIHYDROXY-2-METHYLANTHRAQUINONE
- 79038-97-4/3-(2-{4-[5-(methoxymethyl)-2-oxo-1,3-oxazolidin-3-yl]phenoxy}ethyl)benzonitrile
- 113045-27-5/2-[2-(1-benzylpiperidin-4-yl)ethyl]-5-nitro-1H-isoindole-1,3(2H)-dione hydrochloride
- 109243-78-9/(4Z)-5-(2-chlorophenyl)-4-[(2-hydroxyphenyl)imino]-3-methyl-1,3-oxazolidin-2-one
- 86-21-5/Pheniramine
- 69834-14-6/2-Propenoic acid, 2-methyl-, butyl ester, polymer with butyl 2-propenoate, ethenylbenzene, 2-hydroxyethyl 2-propenoate, methyl 2-methyl-2-propenoate and 2-propenoic acid, compd. with 2-(dimethylamino)ethanol
- 85117-50-6/Benzenesulfonic acid, mono-C10-14-alkyl derivs., sodium salts
- 168037-93-2/(2S)-3-[2-(3,4-dimethoxyphenyl)-1,3-dithian-2-yl]-N-[2-(3,4-dimethoxyphenyl)ethyl]-N,2-dimethylpropan-1-amine
- 57334-89-1/3-Chloro Glyburide (Glyburide IMpurity)
- 125674-46-6/ethyl hydrogen (3-phenyl-4,5-dihydroisoxazol-5-yl)phosphonate
- 4328-88-5/3-amino-2,6-dimethylpyridine-4-carboxylic acid
- 77521-41-6/(R)-2-[(1R,8aR)-Octahydro-4aβ-methylspiro[naphthalene-1(8aH),2'-oxirane]-7β-yl]-1,2-propanediol
- 78321-38-7/Phosphorothioic acid,esters,O,O-bis(1-methylethyl) S-(phenylmethyl) ester,mixt. with 2-(1-methylpropyl)phenyl methylcarbamate and 5-methyl-1,2,4-triazolo[3,4-b]benzothiazole
- 72403-58-8/2-Propenoic acid, 2-methyl-, polymer with 6-(3-butenyl)-1,3,5-triazine-2,4-diamine and ethyl 2-propenoate
- 114836-79-2/7-bis(beta-chloroethyl)aminomethyl-6,14-endoethenotetrahydrooripavine
- 129666-87-1/Efomycin T
- 86088-84-8/Gallbladder, mucosa, ext.
- 128626-48-2/Benzoic acid,3,3',3''-(hydroxymethylidyne)tris[6-hydroxy-, trimethyl ester (9CI)
- 58142-46-4/5-nitro-4-bromoisoquinoline
- 77006-43-0/6,6-dimethyl-3-phenyl-5,6-dihydroimidazo[2,1-b][1,3]thiazole hydrobromide
- 65229-11-0/ammonium dihydrogen 4-sulphonatophthalate
- 15037-55-5/ETHONAM NITRATE
- 617-35-6/Ethyl pyruvate
- 72727-54-9/sulfuric acid, polymer with phenol, ammonium salt,compd. with 2-aminoethanol
- 68409-64-3/benzene-1,2-dicarboxylic acid - 2-hydroxypropyl dodecanoate (1:1)
- 4105-92-4/Triethyl 1,3,5-benzenetricarboxylate
