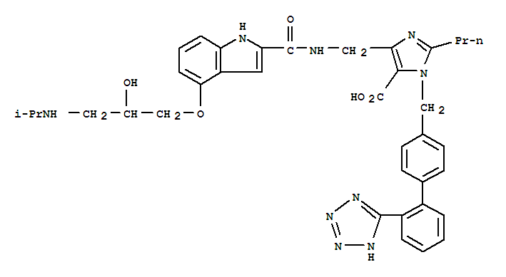
EXP 063(153049-46-8)
- Name: EXP 063
- Synonyms:1H-Imidazole-5-carboxylicacid,4-[[[[4-[2-hydroxy-3-[(1-methylethyl)amino]propoxy]-1H-indol-2-yl]carbonyl]amino]methyl]-2-propyl-1-[[2'-(1H-tetrazol-5-yl)[1,1'-biphenyl]-4-yl]methyl]-(9CI); EXP 063
- Molecular Formula:C37H41 N9 O5
- Molecular Weight:691.78
- CAS Registry Number:153049-46-8
- EINECS:
- Melting Point:
- Water Solubility:
Other Product
- 83481-23-6/(3S,5S,7S,13E,16S,17E,19R,21E)-5-Ethyl-7,19-dihydroxy-3-[(R)-1-(1H-indol-3-yl)ethyl]-16,18-dimethyl-10,11-dinor[13]cytochalasa-6(12),13,17,21-tetrene-1,20,23-trione
- 6383-72-8/2-(5-{(Z)-[1-(3-chlorophenyl)-3,5-dioxopyrazolidin-4-ylidene]methyl}furan-2-yl)benzoic acid
- 54388-96-4/1,2-bis(2-methylphenyl)-2-oxodiazan-2-iumolate
- 27593-43-7/ethyl 3-(acetoxy)-3-butenoate
- 87607-28-1/ethyl [5-(acetylamino)-3-phenyl-1,2-dihydropyrido[3,4-b]pyrazin-7-yl]carbamate
- 147785-56-6/SEC8 protein
- 6355-56-2/5-{4-[(2-chlorobenzyl)oxy]benzylidene}-1,3-dimethyl-2-thioxodihydropyrimidine-4,6(1H,5H)-dione
- 5217-83-4/3-chloro-1-(2-propoxyphenyl)pyrrolidine-2,5-dione
- 73225-74-8/2-chloro-10,11-dihydrodibenzo[b,f]thiepin-10-aminium 5-oxide methanesulfonate
- 53017-94-0/methyl 2-[(1E)-3-(2-carbamoylphenyl)triaz-1-en-1-yl]benzoate
- 85099-24-7/1,19-dichloro-7,10,13,16-tetrakis(3-chloro-2-hydroxypropyl)-4,7,10,13,16-pentaazanonadecane-2,18-diol
- 3095-94-1/1-OCTYLPHOSPHONIC DICHLORIDE
- 50657-11-9/(22R)-14,20-dihydroxy-22,26-epoxyergosta-3,5,24-triene-1,26-dione
- 68038-16-4/Fatty acids, C18-unsatd, dimers, compds. with 4,5-dihydro-2-nortall-oil alkyl-1H-imidazole-1-ethanamine and tall-oil fatty acids
- 89080-21-7/3-[2-cyanoethyl-[4-[[5-(3,4-dimethylphenyl)-2-oxo-3-furylidene]methyl]phenyl]amino]propanenitrile
- 5464-97-1/4-[3-methyl-4-(2-phenylethyl)piperazin-1-yl]butan-1-ol
- 110081-93-1/Aconitan-9-ol,20-ethyl-1,14,16-trimethoxy-4-(methoxymethyl)-7,8-[methylenebis(oxy)]-, (1a,14a,16b)- (9CI)
- 15145-37-6/N-(2-CHLOROETHYL)-N'-(3,4-DICHLOROPHENYL)UREA
- 25799-75-1/Gly-his
- 153049-46-8/EXP 063
- 80916-86-5/2H-1-Benzopyran-2-one, 8-(3-ethoxypropoxy)-3-(1H-tetrazol-5-yl)-
- 92638-18-1/IOS 2069
- 97660-14-5/Sulfonic acids, petroleum, sodium salts, compds. with diethanolamine
- 2762-82-5/2,6-diamino-5-(4-chlorophenyl)pyrimidine-4-carboxylic acid
- 148235-91-0/(2S,16Z,18E,20S,21S,22R,23R,24R,25S,26R,27S,28E)-5,12,21,23-tetrahydroxy-27-methoxy-2,4,16,20,22,24,26-heptamethyl-10-[methyl(2-methylpropyl)amino]-1,6,15-trioxo-1,2-dihydro-6H,13H-2,7-(epoxypentadeca[1,11,13]trienoazeno)[1]benzofuro[4,5-a]phenoxazin-25-y
- 186044-58-6/4-(butylsulfanyl)pyridine-2-carbothioamide
- 190319-95-0/Boc-L-2-(5-bromothienyl)alanine
- 77537-85-0/Sialyltransferase, cytidine monophosphoacetylneuraminate-.beta.-galactosyl(1?4)acetylglucosaminide .alpha.2?3-
- 94248-87-0/N,N-bis[[3-(2,3-dihydroxypropoxy)-2-hydroxypropoxy]methyl]stearamide
- 21616-56-8/2-methylsulfanyl-3-[[4-[(2-methylsulfanyl-5-oxo-4,4-diphenyl-imidazol-1-yl)methyl]piperazin-1-yl]methyl]-5,5-diphenyl-imidazol-4-one
