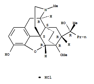
Dihydroetorphine hydrochloride(155536-45-1)
- Name: Dihydroetorphine hydrochloride
- Synonyms:6,14-Ethenomorphinan-7-methanol,4,5-epoxy-18,19-dihydro-3-hydroxy-6-methoxy-a,17-dimethyl-a-propyl-, hydrochloride, (aR,5a,7a)- (9CI);6,14-Ethenomorphinan-7-methanol, 4,5-epoxy-18,19-dihydro-3-hydroxy-6-methoxy-a,17-dimethyl-a-propyl-, hydrochloride, [5a,7a(R)]-; Dihydroetorphine hydrochloride
- Molecular Formula:C25H35 N O4 . Cl H
- Molecular Weight:450.07
- CAS Registry Number:155536-45-1
- EINECS:
- Melting Point:
- Water Solubility:
Other Product
- 30360-09-9/4,6-Bis(phenylamino)-s-triazine-2-carbonitrile
- 36050-33-6/4-bromo-2-(methoxycarbonyl)-6-methylphenyl 5-chlorothiophene-2-carboxylate
- 91053-19-9/Imidazolium compounds, 4,5-dihydro-1-(hydroxyethyl)-3-methyl-2-nornaphthenyl, chlorides
- 116377-11-8/hexa-1,2,5-triene
- 70981-78-1/(9R,10S,11R,12S)-9,10,11,12-tetrahydrobenzo[e]pyrene-9,10,11,12-tetrol
- 18358-53-7/2,6,6-trimethylbicyclo[3.1.1]heptan-3-one
- 23940-89-8/2-(4-benzylpiperazin-1-yl)-N-[(4-chlorophenyl)(phenyl)methyl]ethanamine di[(2Z)-but-2-enedioate]
- 87559-31-7/2,6'-Bi-1H-indole,2',6-bis(4,5-dihydro-1Himidazol- 2-yl)-
- 7379-12-6/2-Methyl-3-hexanone
- 100156-27-2/5-(diethylamino)-2-methylpent-3-yn-2-ol hydrochloride (1:1)
- 5134-62-3/1-(TOLUENE-4-SULFONYL)-PIPERIDINE-3-CARBOXYLIC ACID
- 23905-04-6/1-(2-{[(4-chlorophenyl)(phenyl)methyl]sulfanyl}ethyl)-4-(3-methylphenyl)piperazine ethanedioate (1:1)
- 27702-24-5/1,4-bis[2-(4-bromobenzylidene)hydrazinyl]phthalazine
- 9006-25-1/Formaldehyde,polymers,polymer with 1,3,5-triazine
- 95733-46-3/(+-)-2-alpha,6-beta-Diethyl-3-alpha-(p-hydroxyphenyl)-trans-bicyclo(4.3.0)nonan-7-beta-ol
- 184691-31-4/1-methyl-3-(2-oxo-2-{[2-(4-phenylpiperazin-1-yl)ethyl]amino}ethyl)-1H-indole-2-carboxylic acid
- 220625-58-1/2-Butenamide,4-(methoxyimino)-N-[(1Z)-3-[(1aS,2R,3S,10E,12Z,13aR)-1a,2,5,13a-tetrahydro-2,6-dihydroxy-5-oxo-3H-oxireno[e][2]benzoxacyclododecin-3-yl]-1-propen-1-yl]-,(2Z,4E)-
- 69819-48-3/3,5-dinitro-N-(5-nitro-1,3-thiazol-2-yl)benzamide
- 89076-28-8/4-difluoromethoxy-4'-fluorobenzophenone
- 155536-45-1/Dihydroetorphine hydrochloride
- 73971-64-9/5-Benzofuranbutanoic acid,2,3,3a,4,7,7a-hexahydro-ç,6-dimethyl- 3-methylene-2-oxo-,(çS,3aR,7aR)-
- 2007-69-4/4-methylpropranolol
- 6271-19-8/(3E)-3-{2-[4-(dimethylamino)phenyl]hydrazinylidene}-4-methyl-2H-pyran-2,6(3H)-dione
- 66104-41-4/barium abietate
- 68131-58-8/(C10-C18) Fatty acids, cadmium salt
- 75310-08-6/Rhodium, tetrakis(6-methyl-2-pyridinonato)-N1:O2)di-
- 68097-73-4/2-({[4-(decyloxy)phenyl]carbamoyl}oxy)-N,N-dimethylethanaminium chloride
- 28146-52-3/3-acetylstrophanthin
- 36839-09-5/5-oxaproline
- 5300-77-6/N,N-bis[4-(3a,4,5,6,7,7a-hexahydro-1H-benzoimidazol-2-yl)phenyl]benzene-1,3-dicarboxamide
