Dermaseptin B 1 (9CI)(157446-64-5)
- Name: Dermaseptin B 1 (9CI)
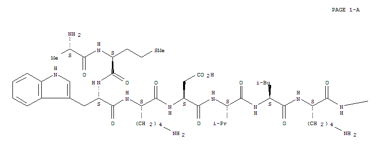
- Synonyms:DermaseptinB; L-Glutamamide, L-alanyl-L-methionyl-L-tryptophyl-L-lysyl-L-a-aspartyl-L-valyl-L-leucyl-L-lysyl-L-lysyl-L-isoleucylglycyl-L-threonyl-L-valyl-L-alanyl-L-leucyl-L-histidyl-L-alanylglycyl-L-lysyl-L-alanyl-L-alanyl-L-leucylglycyl-L-alanyl-L-valyl-L-alanyl-L-a-aspartyl-L-threonyl-L-isoleucyl-L-seryl-
- Molecular Formula:C142H240 N40 O39 S
- Molecular Weight:
- CAS Registry Number:157446-64-5
- EINECS:
- Melting Point:
- Water Solubility:
Other Product
- 53075-86-8/N-[(4-chlorophenyl)sulfanyl]-1-phenylmethanimine
- 95009-55-5/Phosphatides,mycobacterium phlei
- 62265-33-2/(S)-methyl(alpha-methylphenethyl)ammonium [R-(R*,R*)]-hydrogen tartrate
- 64104-34-3/Simulate
- 67828-43-7/methyl (2,4-dihydroxyphenyl)glycolate
- 27911-63-3/(R)-2-(1-HYDROXYETHYL)PYRIDINE
- 91001-81-9/Fatty acids, C12-18 and C18-unsatd., reaction products with diethanolamine and urea
- 70291-92-8/3-[2-(3,4-dimethoxyphenyl)ethyl]-2,6-dimethylquinazolin-4(3H)-one
- 30817-23-3/N-[bromo(triphenyl)-lambda~5~-phosphanyl]cyclopropanamine
- 25453-70-7/6,9-Dioxa-5,10-digermatetradecane
- 63147-24-0/Sulfonium,[3-[[[2'-[2-[(2-amino-3-hydroxy-1-oxobutyl)amino]ethyl][2,4'-bithiazol]-4-yl]carbonyl]amino]propyl]dimethyl-,[R-(R*,S*)]- (9CI)
- 73522-59-5/Cyclodeca[b]furan-6-carboxylicacid,5-(acetyloxy)-2,3,3a,4,5,8,9,11a-octahydro-4-(2-hydroxy-2-methyl-1,3-dioxobutoxy)-10-methyl-3-methylene-2-oxo-,methyl ester (9CI)
- 90640-34-9/Amines,C12-14-tert-alkyl, branched dodecylbenzenesulfonates
- 123641-95-2/2-Butenoic acid,2-methyl-,[(6S,7S,9R,14aS,15R)-1,5,6,7,9,10,13,14,14a,15-decahydro-7-hydroxy-2,11-dimethoxy-3,12,16-trimethyl-1,4,10,13-tetraoxo-6,15-imino-4H-isoquino[3,2-b][3]benzazocin-9-yl]methylester, (2Z)-
- 49835-53-2/4-oxo-4-(pyridin-4-yl)butanenitrile
- 85120-60-1/Butanedial,[2-[(1S,2R,4aR,8aR)-decahydro-1,2,4a-trimethyl-5-methylene-1-naphthalenyl]ethylidene]-,(2Z)- (9CI)
- 157446-64-5/Dermaseptin B 1 (9CI)
- 6300-43-2/3-hydroxy-4-({2-methyl-4-[(E)-(2-methylphenyl)diazenyl]phenyl}hydrazono)cyclohexa-2,5-dien-1-one
- 70320-49-9/[(1E)-1-ethylprop-1-en-1-yl](trimethyl)silane
- 90387-88-5/Glycine, N-methyl-,N-tallow acyl derivs., sodium salts
- 52684-32-9/decahydro-2-naphthyl acrylate
- 2751-25-9/4-chlorobenzenesulfonohydrazide
- 30158-44-2/1-[(2-chloro-2-phenylethyl)sulfonyl]-4-fluorobenzene
- 819-01-2/1-bromo-3,3,3-trifluoroprop-1-yne
- 108612-71-1/2-[{1-[1-(2,4-difluorobenzyl)-1H-benzimidazol-2-yl]piperidin-4-yl}(methyl)amino]pyrimidin-4(3H)-one
- 6633-67-6/N4-(3-chlorophenyl)pyrimidine-2,4,6-triamine
- 53885-70-4/5-[2-(4-methoxyphenyl)-2-oxoethyl]thieno[3,2-c]pyridin-5-ium bromide
- 58327-23-4/3,3,5-trimethylcyclohexyl 2-methyl-2-[3-(trifluoromethyl)phenoxy]propanoate
- 144315-07-1/disodium 2-O-octadecyl-5,6-di-O-sulfonato-L-threo-hex-1-enofuranos-3-ulose
- 26338-45-4/Aziridine, homopolymer, hydrochloride
