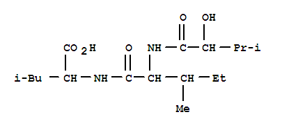
D-Leucine,(2S)-2-hydroxy-3-methylbutanoyl-D-alloisoleucyl- (9CI)(3092-09-9)
- Name: D-Leucine,(2S)-2-hydroxy-3-methylbutanoyl-D-alloisoleucyl- (9CI)
- Synonyms:D-Leucine,N-[N-(2-hydroxy-3-methyl-1-oxobutyl)-D-alloisoleucyl]-, (S)-; Leucine,N-[N-(L-2-hydroxy-3-methylbutyryl)-D-alloisoleucyl]- (7CI); Leucine,N-[N-(L-2-hydroxy-3-methylbutyryl)-D-alloisoleucyl]-, D- (8CI); Sporidesmolicacid D
- Molecular Formula:C17H32 N2 O5
- Molecular Weight:
- CAS Registry Number:3092-09-9
- EINECS:
- Melting Point:
- Water Solubility:
Other Product
- 34559-90-5/1-(2-chloroethyl)-3-(1,3-dithian-5-yl)urea
- 185507-46-4/Pregn-6-ene-5,8,12,14,17,20-hexol,3-[(O-6-deoxy-3-O-methyl-b-D-glucopyranosyl-(1®4)-O-2,6-dideoxy-3-O-methyl-b-D-arabino-hexopyranosyl-(1®4)-O-2,6-dideoxy-3-O-methyl-b-D-ribo-hexopyranosyl-(1®4)-2,6-dideoxy-3-O-methyl-b-D-ribo-hexopyranosyl)oxy]-, 12-[(2E)-3-phenyl-2-propenoate]20-(3-pyridinecarboxylate), (3b,5a,12b,14b,17a,20S)- (9CI)
- 14220-26-9/copper(I) acetylacetonate
- 135597-74-9/HRL 6N7
- 3807-61-2/1-BENZYL-2,5-DIMETHYL-1H-PYRROLE-3-CARBOXYLIC ACID
- 23612-78-4/1H-Indazole, 7-((p-(dimethylamino)phenyl)azo)-
- 2917-67-1/bis(chloromethyl)(methyl)propylsilane
- 15596-19-7/3β-(β-D-Galactopyranosyloxy)olean-12-en-28-oic acid
- 78623-41-3/Top Cop
- 104965-33-5/methyl 2-[4-(4-amino-6,7-dimethoxyquinazolin-2-yl)piperazin-1-yl]-4-[(1-methylethyl)amino]pyrimidine-5-carboxylate hydrochloride
- 30537-11-2/triphenyl(1-phenylethenyl)phosphonium
- 20566-65-8/4-{[3-(2-amino-6-oxo-3,6-dihydro-9H-purin-9-yl)phenyl]sulfamoyl}benzenesulfonyl fluoride
- 54747-64-7/4-(CHLOROMETHYL)-2-THIEN-3-YL-1,3-THIAZOLE HYDROCHLORIDE
- 70248-04-3/Propanoic acid, zinc salt, reaction products with p-tert-butylphenol-4-(1,1-dimethylpropyl)phenol-formaldehyde polymer, ammonium salts
- 114501-02-9/2-[(2-METHOXYPHENYL)AMINO]NICOTINIC ACID
- 86518-44-7/2-[(1-methylpiperidin-4-yl)oxy]-2-oxoethyl 2-[(7-chloroquinolin-4-yl)amino]benzoate
- 3092-09-9/D-Leucine,(2S)-2-hydroxy-3-methylbutanoyl-D-alloisoleucyl- (9CI)
- 160954-15-4/2H-1,4-Benzodiazepin-2-one,5-(2-fluorophenyl)-1,3-dihydro-8-methyl-
- 100208-40-0/2,4,7,10,13-Pentaoxatetradecane-1,14-diol
- 129777-62-4/Phosphonic acid,[3-[bis(4-hydroxy-3-phosphonophenyl)methylene]-6-oxo-1,4-cyclohexadien-1-yl]-,ammonium salt (9CI)
- 16974-72-4/N-[(20S)-20-(Dimethylamino)-4,4,14-trimethyl-9,19-cyclo-5α-pregnan-3β-yl]-N-methylbenzamide
- 10439-64-2/1-(2-oxo-2-{2-[(E)-(6-oxocyclohexa-2,4-dien-1-ylidene)methyl]hydrazino}ethyl)pyridinium
- 4153-66-6/S-{(2Z)-2-amino-2-[(2-methylpropyl)imino]ethyl} hydrogen sulfurothioate
- 5660-26-4/Quinoxaline,2-(1(4H)-pyridazinyl)-
- 52764-69-9/N-{(E)-[4-(3-azaspiro[5.5]undec-3-yl)phenyl]methylidene}-3,4,5-trichloroaniline
- 32905-67-2/1-(2,2,4,4-Tetramethylvaleryl)piperidine
- 41432-76-2/(3S,11Z)-14,16-dihydroxy-3-methyl-1,7-dioxo-3,4,5,6,7,8,9,10-octahydro-1H-2-benzoxacyclotetradecine-13-carbaldehyde
- 17878-64-7/2-Butenediamide,N1,N1,N4,N4-tetramethyl-, (2E)-
- 33592-97-1/p-Cyanophenylcarbamic acid 1-ethyl-3-piperidinyl ester
- 78474-83-6/4-[(E)-pyridin-4-yldiazenyl]naphthalen-1-amine
