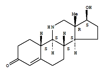
D-11-aza-19-nortestosterone(41235-53-4)
- Name: D-11-aza-19-nortestosterone
- Synonyms:2H-Benzo[h]cyclopenta[c]quinoline,11-azaestr-4-en-3-one deriv.; 11-Aza-19-nortestosterone; D-11-Aza-19-nortestosterone
- Molecular Formula:C17H25 N O2
- Molecular Weight:0
- CAS Registry Number:41235-53-4
- EINECS:
- Melting Point:
- Water Solubility:
 
	   Other Product
- 15056-34-5/(1E)-triaz-1-ene
- 705-05-5/1-butyldihydropyrimidine-2,4(1H,3H)-dione
- 64283-04-1/1-aminopentane-2-thiol
- 1738-87-0/Z-LEU-ONP
- 108414-87-5/5-N-(3-aminophenyl)amiloride
- 10329-98-3/1-NAPHTHYL-N-ACETYL-BETA-D-GLUCOSAMINIDE
- 54978-20-0/(3E)-3-{(2E)-[amino(nitroamino)methylidene]hydrazinylidene}propanoic acid
- 68139-95-7/Amines, tallow alkyl, compds. with linoleic acid trimer
- 637-39-8/TRIETHANOLAMINE HYDROCHLORIDE
- 563-28-0/propyl hydrogen sulfate
- 31629-79-5/theaflavine gallate
- 15764-24-6/dipropylene glycol ethyl ether
- 65497-22-5/Silymarin S
- 93922-02-2/sodium isooctylphenolate
- 125236-59-1/8H-Pyrido[4,3,2-mn]thiazolo[4,5-b]acridine-9-ethanamine,N,N-dimethyl-
- 137233-78-4/Nalpha-(tert-butoxycarbonyl)-Nepsilon-(N-(bromoacetyl)alanyl)lysine
- 33476-73-2/(14R)-Grayanotoxane-3β,5,6β,7α,10,14,16-heptol 6-propanoate
- 69631-31-8/2-Propenoic acid, 2-methyl-, 2-hydroxyethyl ester, polymer with diethenylbenzene and methyl 2-methyl-2-propenoate
- 41235-53-4/D-11-aza-19-nortestosterone
- 74927-04-1/2-butyl-3-methyl-6-propan-2-yl-phenol
- 83408-81-5/((2-Methoxyphenyl)amino)ethanethioic acid S-1H-benzimidazol-2-yl ester
- 2305-85-3/2-Quinazolinamine, 5,6,7,8-tetrahydro- (9CI)
- 175448-27-8/Abrusoside E
- 619-86-3/4-Ethoxybenzoic acid
- 3400-55-3/2-BROMOPRIOPIONALDEHYDE DIETHYL ACETAL
- 68920-39-8/Fatty acids, tall-oil, reaction products with diethylenetriamine and di-Et sulfate, quaternized
- 85018-66-2/1,11-Undecanediol, 2,10-diethyl-2,10-dimethyl-
- 39924-52-2/10 G METHYL JASMONATEPURE
- 100770-17-0/(beta-Dimethylaminoethyl)aminoacetyl-10-phenothiazine maleate
- 61490-66-2/(7R,8S,9R,10S)-7,8,9,10-tetrahydrobenzo[pqr]tetraphene-7,8,9,10-tetrol

 
               
       