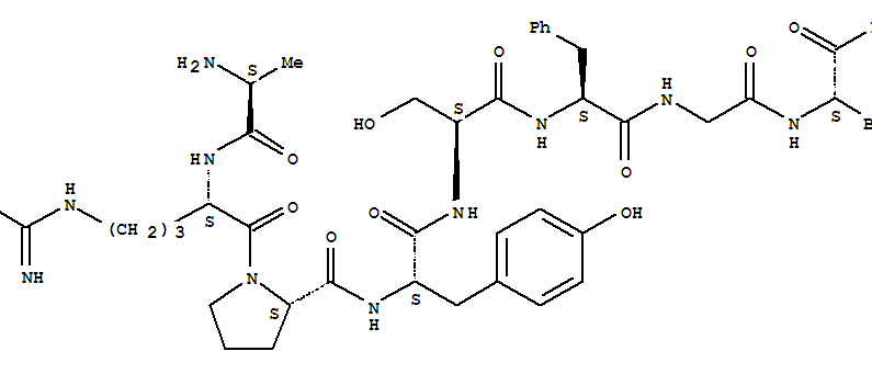
Cydiastatin 4 (9CI)(151898-99-6)
- Name: Cydiastatin 4 (9CI)
- Synonyms:Allatostatin4 (silkworm strain Lyon-200BA/Lyon-300AB); Allatostatin 6 (Diplopterapunctata); Allatostatin 6 (Schistocerca gregaria); Callatostatin III;Dip-allatostatin 6; Dippu-AST 6; Helicostatin 4; L-Leucinamide,L-alanyl-L-arginyl-L-prolyl-L-tyrosyl-L-seryl-L-phenylalanylglycyl-; Pea-AST 6;Pea-allatostatin 6; Scg-AST-6; Schistostatin 6
- Molecular Formula:C43H64 N12 O10
- Molecular Weight:
- CAS Registry Number:151898-99-6
- EINECS:
- Melting Point:
- Water Solubility:
Other Product
- 23749-87-3/1,3-Bis(3,4-dichlorobenzyl)thiourea
- 5329-69-1/2-methoxyethyl 5-(2-methoxyphenyl)-7-methyl-2-[(5-nitro-2-piperidin-1-ylphenyl)methylidene]-3-oxo-2,3-dihydro-5H-[1,3]thiazolo[3,2-a]pyrimidine-6-carboxylate
- 315-22-0/MONOCROTALINE
- 91897-64-2/(2R)-2,11-dimethoxy-2,3,5,6,9,10-hexahydro-1H,8H-[1,3]dioxolo[4,5-h]indolo[7a,1-a][2]benzazepine
- 41956-63-2/5-iodo-2-{[6-(1,3-thiazolidin-3-yl)hexyl]sulfanyl}pyridine hydrochloride
- 115596-52-6/6-amino-5-(2,2-dimethyltetrahydro-2H-pyran-4-yl)pyrimidine-2,4(1H,3H)-dione
- 12226-46-9/C.I. Reactive Yellow 7
- 58248-03-6/2-[(phenylcarbonyl)amino]benzoic acid - piperazine (2:1)
- 931-87-3/CYCLOOCTENE
- 85085-83-2/Disodium ((N,N-o-phenylenebis(N-(carboxymethyl)glycinato))(4-)-N,N,O,O,ON,ON)magnesate(2-)
- 5923-93-3/N-(2-butoxyphenyl)-3,4-dimethoxybenzamide
- 89684-72-0/2,7-Naphthalenedisulfonic acid,3-[(4-chloro-2-phosphonophenyl)azo]-4,- 5-dihydroxy-6-[(4-methylphenyl)azo]-
- 102489-38-3/Subliomycin (9CI)
- 1219-36-9/1-[3-(p-fluorobenzoyl)propyl]piperidinium chloride
- 73972-64-2/2-(Cyclohexylthio)-3-methylpyrazine
- 74324-97-3/4-(1-benzothiophen-2-yl)-4-oxobutanoic acid
- 151898-99-6/Cydiastatin 4 (9CI)
- 5526-61-4/3-[(5E)-5-(2-methoxybenzylidene)-4-oxo-2-thioxo-1,3-thiazolidin-3-yl]-N-(5-methyl-1,3,4-thiadiazol-2-yl)propanamide
- 21420-58-6/baeocystin
- 73283-24-6/3-phenyl-2-(3,3,3-trifluoro-2-oxopropyl)quinazolin-4(3H)-one
- 77000-34-1/insulin, butyrimidylpyridine disulfide-
- 83358-68-3/1-(6H-benzo[c]chromen-6-yl)piperazine
- 142505-92-8/squalestatin 3
- 1439-41-4/tris(2-cyanoethyl)phosphine oxide
- 69136-73-8/inderide
- 22859-36-5/Trimethoxy(methoxymethyl)silane
- 61-54-1/Tryptamine
- 2990-03-6/1-(2,6-Dimethylphenyl)urea
- 3551-18-6/Acetryptine
- 94135-30-5/Pregna-1,4-diene-3,20-dione, 21-(3-carboxy-1-oxopropoxy)-9-fluoro-11-hydroxy-16,17-[(1-methylethylidene)bis(oxy)]-, monosodium salt, (11beta,16beta)-
