Cyclohexane.ovrddot.(855364-40-8)
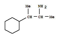
- Name: Cyclohexane.ovrddot.
- Synonyms:Cyclohexaneethylamine,a,b-dimethyl- (5CI)
- Molecular Formula:C10H21 N
- Molecular Weight:155.28
- CAS Registry Number:855364-40-8
- EINECS:
- Melting Point:
- Water Solubility:
Other Product
- 855405-68-4/Cycloheptimidazole, 4-amino- (5CI)
- 855405-67-3/Cycloheptimidazole, 6-amino-1,4,5,6,7,8-hexahydro- (5CI)
- 855402-67-4/2,4,6-Cycloheptatrien-1-one, 2-chloro-7-mercapto-
- 855399-88-1/2,4,6-Cycloheptatrien-1-one, 3-amino-2-hydroxy-4-methyl-
- 855398-51-5/1-Oxaspiro[2.5]octane, 2,4-dimethyl-
- 855391-76-3/Phenethylamine, -bta-,2,4-trimethyl- (5CI)
- 855389-68-3/Oxalacetic acid, chloro(hydroxymethyl)-, -gamma--lactone (5CI)
- 855388-71-5/Phenethylamine, p-ethyl--bta--methyl- (5CI)
- 855386-66-2/8-Oxabicyclo[5.1.0]octane, 4-methyl-
- 855384-62-2/1,1-Cyclobutanedicarboxamide, 3-methyl-
- 855383-80-1/7-Oxabicyclo[4.1.0]heptane, 1-chloro-6-methyl-
- 855383-79-8/7-Oxabicyclo[4.1.0]heptane, 1-ethyl-3-methyl-
- 855383-78-7/7-Oxabicyclo[4.1.0]heptane, 1-methoxy-3-methyl-
- 855383-75-4/7-Oxabicyclo[4.1.0]heptane, 1,3,3-trimethyl-
- 855383-57-2/6-Oxa-3-azabicyclo[3.1.0]hexane, 1,5-dimethyl-
- 855377-13-8/2-Pentanone, 3-chloro-4-hydroxy-, acetate (5CI)
- 855367-98-5/Oxirane, 2-ethyl-3-[2-(2-oxiranyl)ethyl]-
- 855364-40-8/Cyclohexane.ovrddot.
- 855352-79-3/8-Phenanthridinol, 5,6-dihydro-5,6-dimethyl-, ethyl carbonate (5CI)
- 855352-77-1/8-Phenanthridinol, 6-methyl-, ethyl carbonate (5CI)
- 855346-78-0/o-Cresol, 6-amino-3-mercapto- (5CI)
- 855344-11-5/1H-Pyrazole, 4-chloro-3-methyl-5-(1-methylethyl)-
- 855308-67-7/4-(3-CHLORO-2-THIENYL)-2-PYRIMIDINAMINE
- 855308-65-5/4-(5-CHLORO-2-THIENYL)-2-PYRIMIDINAMINE
- 855294-67-6/Isoquinolinium, 3-carboxy-4-hydroxy-2-methyl- (6CI)
- 855278-36-3/Benzylamine, o-methyl--alpha--propyl- (5CI)
- 855275-58-0/Benzothiazole, 2-chloro-5-ethoxy- (5CI)
- 855244-43-8/3,3'-Bi-1,2,4-triazine
- 855234-75-2/2-Butene-1,4-dione, 2-bromo-3-hydroxy- (4CI)
- 855233-40-8/3-Buten-2-one, 1,1-dichloro-3-methyl-
