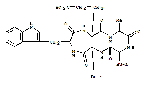
Cyclo(leu-leu-trp-glu-ala)(140374-62-5)
- Name: Cyclo(leu-leu-trp-glu-ala)
- Synonyms:1,4,7,10,13-Pentaazacyclopentadecane,cyclic peptide deriv.; WS 7338C
- Molecular Formula:C31H44 N6 O7
- Molecular Weight:612.71706
- CAS Registry Number:140374-62-5
- EINECS:
- Melting Point:
- Water Solubility:
Other Product
- 65548-71-2/3-(2-methyl-5,6,7,8-tetrahydroindolizin-3-yl)propan-1-amine
- 4827-61-6/N,N-diethyl-2-{4-[(1R,2S)-2-phenyl-1,2,3,4-tetrahydronaphthalen-1-yl]phenoxy}ethanamine
- 2835-96-3/4-Amino-2-methylphenol
- 92942-82-0/1H-1,5-Benzodiazepine-2-carboxylic acid, 2,3,4,5,-tetrahydro-2-methyl-4-phenyl-5-(1-oxopropyl)-, ethyl ester
- 92113-68-3/Fatty acids, marine-oil
- 57455-83-1/Vat yellow 49
- 116759-26-3/{2-[(E)-2-(1,3-benzodioxol-5-yl)ethenyl]-4-(4-chlorophenyl)-1,3-thiazol-5-yl}acetic acid
- 171-17-5/Spiro[3H-2-benzopyran-3,1'(3'H)-isobenzofuran],1,4-dihydro-
- 67979-48-0/1-nitronaphthalen-2-yl methanesulfonate
- 17088-58-3/2-(2-chloro-1-phenylethyl)-6-[(4-nitrobenzyl)oxy]pyridazin-3(2H)-one
- 62820-11-5/1a,1b,2,3,4,5,7a,8,8a,9,10,10a-Dodecahydro-2-hydroxy-6-(hydroxymethyl) -3,8,8,10a-tetramethyl-5-oxo-4aH-cyclopenta(3,4)cyclopropa(8,9)cycloun dec(1,2-b)oxiren-4a-yl ester
- 66471-78-1/(3S)-3,4,4a,5,6,7,8,8aβ-Octahydro-8α-hydroxymethyl-4α-[(E)-5-hydroxy-3-methyl-3-pentenyl]-3β,4aα,8-trimethylnaphthalen-2(1H)-one
- 54941-76-3/(3,4-dichlorophenyl)[2-(1H-imidazol-2-yl)phenyl]methanone hydrochloride
- 54963-46-1/2H,6H-Benzo[1,2-b:5,4-b']dipyran-6-one,8- (3,4-dihydro-5,6-dihydroxy-2,2-dimethyl- 2H-1-benzopyran-8-yl)-5-hydroxy-2,2- dimethyl-
- 147465-89-2/1H-Cyclobuta[2,3]cyclopenta[1,2-a]cyclopropa[2,3]cyclopenta[1,2-f]naphthalene,hexadecahydro-9b-methyl-, (3aS,3bS,5aR,7aR,9aS,9bR)-
- 16836-28-5/16,17-Dihydroxykauran-3-one
- 10113-37-8/N-(2-CHLORO-6-METHYLPHENYL)FORMAMIDE&
- 68226-96-0/carbonic acid, compound with 2-amino-2-(hydroxymethyl)propane-1,3-diol (1:1)
- 31788-79-1/2-phenyl-2-pyrrolidin-1-ylacetamide
- 140374-62-5/Cyclo(leu-leu-trp-glu-ala)
- 14017-39-1/FERROUS SULFAMATE
- 3999-42-6/2,6-dimethylpyridine--borane
- 132014-43-8/(1S,3R,5E,7E,9xi,17xi,20R)-20-[(5-hydroxy-5-methylhexyl)oxy]-9,10-secopregna-5,7,10-triene-1,3-diol
- 28008-01-7/6-sec-Butoxy-s-triazine-2,4-diamine
- 105889-14-3/6-(4-chlorophenyl)-3,5,6-trimethyl-3,6-dihydro-2H-1,3,4-oxadiazin-2-one
- 6312-38-5/2,3-diphenylmorpholin-2-yl benzoate
- 59336-96-8/1-[2-(1H-benzimidazol-1-yl)ethyl]urea
- 88402-04-4/glycyl-L-arginyl-L-cysteinyl-L-valyl-Lcysteinyl-L-arginyl-L-lysyl-Lglutaminyl-L-leucyl-L-leucyl-Lcysteinyl-L-seryl-L-tyrosyl-L-arginyl-Lr-glutamyl-L-arginyl-L-arginyl-Lisoleucylglycyl-L-r-aspartyl-L-cysteinyl-L-lysyl-L-isoleucyl-L-arginylglycyl-Lvalyl-L-arginyl-L-phenylalanyl-Lprolyl-L-phenylalanyl-L-cysteinyl-Lcysteinyl-L-prolyl-
- 79221-43-5/1-Piperazinecarbothioamide, 4-(4-amino-6,7-dimethoxy-2-quinazolinyl)-N -phenyl-
- 72133-32-5/5-[3-(trifluoromethyl)phenoxy]pyridine-2-carboxylic acid
