Current position:Home >Product >
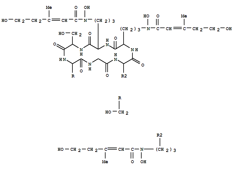
Cyclo[glycyl-N5-hydroxy-N5-[(2Z)-5-hydroxy-3-methyl-1-oxo-2-penten-1-yl]-L-ornithyl-N5-hydroxy-N5-[(2Z)-5-hydroxy-3-methyl-1-oxo-2-penten-1-yl]-L-ornithyl-N5-hydroxy-N5-[(2Z)-5-hydroxy-3-methyl-1-oxo-2-penten-1-yl]-L-ornithyl-L-seryl-L-seryl]
Cyclo[glycyl-N5-hydroxy-N5-[(2Z)-5-hydroxy-3-methyl-1-oxo-2-penten-1-yl]-L-ornithyl-N5-hydroxy-N5-[(2Z)-5-hydroxy-3-methyl-1-oxo-2-penten-1-yl]-L-ornithyl-N5-hydroxy-N5-[(2Z)-5-hydroxy-3-methyl-1-oxo-2-penten-1-yl]-L-ornithyl-L-seryl-L-seryl](26799-83-7)
- Name: Cyclo[glycyl-N5-hydroxy-N5-[(2Z)-5-hydroxy-3-methyl-1-oxo-2-penten-1-yl]-L-ornithyl-N5-hydroxy-N5-[(2Z)-5-hydroxy-3-methyl-1-oxo-2-penten-1-yl]-L-ornithyl-N5-hydroxy-N5-[(2Z)-5-hydroxy-3-methyl-1-oxo-2-penten-1-yl]-L-ornithyl-L-seryl-L-seryl]
- Synonyms:2-Pentenohydroxamicacid,N,N',N''-[[11,14-bis(hydroxymethyl)-3,6,9,12,15,18-hexaoxo-1,4,7,10,13,16-hexaazacyclooctadecane-2,5,8-triyl]tris(trimethylene)]tris[5-hydroxy-3-methyl-,(Z,Z,Z)- (8CI); Deferrirhodin (7CI); Ferrirhodin, deferri- (9CI);1,4,7,10,13,16-Hexaazacyclooctadecane, cyclic peptide deriv.;(Z,Z,Z)-Cyclo[glycyl-N5-hydroxy-N5-(5-hydroxy-3-methyl-1-oxo-2-pentenyl)-L-ornithyl-N5-hydroxy-N5-(5-hydroxy-3-methyl-1-oxo-2-pentenyl)-L-ornithyl-N5-hydroxy-N5-(5-hydroxy-3-methyl-1-oxo-2-pentenyl)-L-ornithyl-L-seryl-L-seryl];Cyclo[glycyl-N5-hydroxy-N5-(5-hydroxy-3-methyl-1-oxo-2-pentenyl)-L-ornithyl-N5-hydroxy-N5-(5-hydroxy-3-methyl-1-oxo-2-pentenyl)-L-ornithyl-N5-hydroxy-N5-(5-hydroxy-3-methyl-1-oxo-2-pentenyl)-L-ornithyl-L-seryl-L-seryl],(Z,Z,Z)-; Desferrirhodin
- Molecular Formula:C41H67 N9 O17
- Molecular Weight:
- CAS Registry Number:26799-83-7
- EINECS:
- Melting Point:
- Water Solubility:
Other Product
- 108674-22-2/6,8-dibromo-2-[(butan-2-ylsulfonyl)methyl]-3-(2-chlorophenyl)quinazolin-4(3H)-one
- 185139-32-6/Prosta-5,10,14-trien-1-oic acid,4-hydroxy-9-oxo-,ç-lactone,(4R,5E,- 8â,12R,14Z)-
- 5576-25-0/2-chloro-N-(3-cyano-6-methyl-4,5,6,7-tetrahydro-1-benzothiophen-2-yl)-4-nitrobenzamide
- 82987-85-7/Retroviral nucleocapsid protein ncp10
- 70660-73-0/hexamethyl hexane-1,2,3,4,5,6-hexacarboxylate
- 58356-16-4/3'H-Cyclopropa[6,7]-1,5-cycloandrost-6-ene,6,- 7-dihydro-
- 144051-08-1/Benzeneacetonitrile, a-[3-(hexylmethylamino)propyl]-3,4,5-trimethoxy-a-(1-methylethyl)-,monohydrochloride, (aS)- (9CI)
- 94386-17-1/(Acetato-O)(myristato-O)calcium
- 53754-48-6/lithium naphthalene-2-sulphonate
- 70943-85-0/N2-(3-Hydroxy-8-methyl-1-oxononyl)-D-Asn-D-Val-D-Phe-L-Asn-D-Asn-L-Lys-D-aThr-Gly-D-Trp-D-aIle-OH
- 6764-45-0/2,5-Bis[(4-methylphenyl)amino]-1,4-benzenedicarboxylic acid diethyl ester
- 70733-84-5/4-[(2,4-Dimethoxyphenyl)carbonothioyl]morpholine
- 17135-39-6/2-(furan-2-yl)-5,7-diphenyl-1,3-diazatricyclo[3.3.1.1~3,7~]decan-6-ol
- 125629-23-4/3-chloro-4-(3-hydroxy-1,4-dihydroquinoxalin-2-yl)-6-nitrocyclohexa-3,5-diene-1,2-dione
- 23817-69-8/Hydrazinecarboximidamide,2-[(5-bromo-2-hydroxyphenyl)methylene]-
- 140876-13-7/potassium sodium 3,3'-(3(or4)-methyl-1,2-phenylenebis(imino(6-chloro)-1,3,5-triazine-4,2-diylimino(2-acetamido-5-methoxy)-4,1-phenylenazo)dinaphthalene-1,5-disulfonate
- 19803-82-8/1-Piperazinecarboxamidine, N-((p-chlorophenyl)amidino)-4-methyl-, dihydrochloride
- 95370-50-6/2-Butenedioic acid (Z)-, di-C13-18-alkyl esters
- 18599-85-4/(1-cyclohexyl-2-phenylazetidin-3-yl)(phenyl)methanone
- 26799-83-7/Cyclo[glycyl-N5-hydroxy-N5-[(2Z)-5-hydroxy-3-methyl-1-oxo-2-penten-1-yl]-L-ornithyl-N5-hydroxy-N5-[(2Z)-5-hydroxy-3-methyl-1-oxo-2-penten-1-yl]-L-ornithyl-N5-hydroxy-N5-[(2Z)-5-hydroxy-3-methyl-1-oxo-2-penten-1-yl]-L-ornithyl-L-seryl-L-seryl]
- 136603-12-8/Acetic acid, (4-((2-phenyl-1,8-naphthyridin-3-yl)carbonyl)phenoxy)-, ((2-hydroxyphenyl)methylene)hydrazide
- 21321-05-1/ethanesulfonic acid - 5-({3-[4-(4,6-diamino-2,2-dimethyl-1,3,5-triazin-1(2H)-yl)phenyl]propanoyl}amino)-2-methoxybenzenesulfonyl fluoride (1:1)
- 16478-18-5/1,2,3,4,5-PENTACHLORO-6-IODOBENZENE
- 86518-57-2/2-oxo-2-{[1-(2-oxo-2-phenylethyl)piperidin-4-yl]oxy}ethyl 2-[(7-chloroquinolin-4-yl)amino]benzoate
- 76995-66-9/2-(4-benzylphenyl)-3-thioxohexahydro-1H-[1,2,4]triazolo[1,2-a]pyridazin-1-one
- 70024-91-8/(C11-C15) Alkyl alcohol ethoxylate, reaction product with epichlorohydrin
- 227597-41-3/2-Pyrrolidineacetamide,1-(O-5-deoxy-2-O-methyl-b-D-arabinofuranosyl-(1®4)-O-b-D-arabinopyranosyl-(1®2)-b-D-xylopyranosyl)-4-[(2E,4E,6E,8E,10Z,12E,14Z)-11,15-dichloro-15-[(2S,3S,5R)-3-chlorotetrahydro-5-methyl-2-furanyl]-1-hydroxy-2,4,6,8,10,12,14-pentadecaheptaenylidene]-3,5-dioxo-,(2S,4Z)- (9CI)
- 76634-39-4/(4-aminophenyl)sulfonyl-pyrimidin-2-yl-azanide; 1H-imidazole; silver
- 5421-44-3/4-bromophenyl 4-methoxybenzoate
- 19263-11-7/2-(2-methylbenzyl)butanedioic acid
