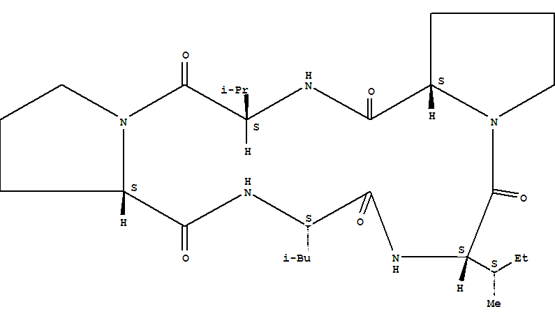
Cyclo(L-isoleucyl-L-prolyl-L-valyl-L-prolyl-L-leucyl)(118984-47-7)
- Name: Cyclo(L-isoleucyl-L-prolyl-L-valyl-L-prolyl-L-leucyl)
- Synonyms:5H-Dipyrrolo[1,2-a:1',2'-g][1,4,7,10,13]pentaazacyclopentadecine,cyclic peptide deriv.; Fenestin B
- Molecular Formula:C27H45 N5 O5
- Molecular Weight:
- CAS Registry Number:118984-47-7
- EINECS:
- Melting Point:
- Water Solubility:
Other Product
- 73543-95-0/(E)-hex-2-enal
- 889-31-6/3-(benzylamino)-5,5-dimethylcyclohex-2-en-1-one
- 97721-96-5/Fatty acids, beeswax, sodium salts
- 192210-99-4/Androsta-1,4-dien-3-one,9-fluoro-6,11- dihydroxy-17-(methylsulfonyl)-,(6â,9â,11â)-
- 15123-69-0/CUPRIC SELENATE
- 30357-45-0/4-methyl-N,N-dipropyl-6-(trichloromethyl)-1,3,5-triazin-2-amine
- 25266-13-1/2-OCTYL ACRYLATE POLYMER
- 60328-70-3/chlorocobalt(1+) ethanide bis[(2Z)-N-hydroxy-3-nitrosobut-2-en-2-amine] (1:2)
- 70851-47-7/CHLOROMETHYLDODECYLDIMETHYLSILANE
- 21241-68-9/2-[4-(dimethylamino)phenyl]-5-ethyl-3,4-dimethyl-1,3-thiazol-3-ium iodide
- 567-95-3/4,5-dihydroxy-2-hydroxymethyl-1,3,6,8-tetranitroanthraquinone
- 80305-18-6/4-[4-(3,4,5-trimethoxybenzyl)piperazin-1-yl]phenol hydrochloride
- 33247-30-2/1,3,5-Triazonia-2-borata-4,6-dialuminatacyclohexane
- 26278-79-5/2-Amino-benzothiazol-6-ol
- 30357-80-3/4,6-dibromo-N-ethyl-1,3,5-triazin-2-amine
- 220456-86-0/Olean-12-en-28-oicacid, 3-[[O-2-O-[(2E)-3-(3,4-dimethoxyphenyl)-1-oxo-2-propenyl]-b-D-glucopyranosyl-(1®4)-O-b-D-glucopyranosyl-(1®4)-O-b-D-ribopyranosyl-(1®3)-O-6-deoxy-a-L-mannopyranosyl-(1®2)-a-L-arabinopyranosyl]oxy]-,O-6-deoxy-a-L-mannopyranosyl-(1®4)-O-b-D-glucopyranosyl-(1®6)-b-D-glucopyranosyl ester, (3b)- (9CI)
- 6419-62-1/Mercury,chloro(1-methoxyethyl)-
- 5886-39-5/1-ethoxy-3-(thiophen-2-yl)quinoxalin-2(1H)-one 4-oxide
- 57497-29-7/[(Z)-methyl-NNO-azoxy]ethane
- 118984-47-7/Cyclo(L-isoleucyl-L-prolyl-L-valyl-L-prolyl-L-leucyl)
- 14593-04-5/3-AMINO-3-PHENYL-1-PROPANOL
- 33254-46-5/9-(3-phenylpropyl)-3,9-dihydro-6H-purine-6-thione
- 78149-79-8/N,N-bis(2-chloroethyl)-5,5,6-trimethyl-1,3,2-oxazaphosphinan-2-amine 2-oxide
- 68037-24-1/Ethoxylated (C16-C18) alcohol, ester with methyl alpha-sulfomyristate, diethanolamine salt
- 3261-62-9/4-Methylphenethylamine
- 56441-94-2/Benzeneacetic acid,4-[(4-fluorophenyl)methoxy]- ,ethyl ester
- 107032-81-5/5-[3-(2-carboxy-4-oxo-chromen-5-yl)oxy-2-sulfooxy-propoxy]-4-oxo-chrom ene-2-carboxylic acid
- 91929-53-2/N-methylthiobenzamide S-oxide
- 74162-91-7/LY 87130
- 15576-30-4/Phosphorothioic acid,O-ethyl O-(4-nitrophenyl) ester
