Current position:Home >Product >
Cyclo(L-arginyl-L-prolyl-L-prolyl-L-valyl-L-prolyl-L-phenylalanyl-L-tryptophyl)(9CI)
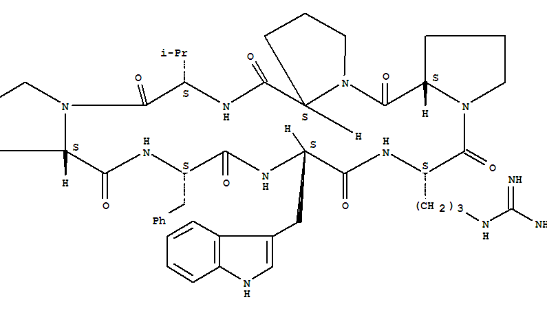
Cyclo(L-arginyl-L-prolyl-L-prolyl-L-valyl-L-prolyl-L-phenylalanyl-L-tryptophyl)(9CI)(148472-99-5)
- Name: Cyclo(L-arginyl-L-prolyl-L-prolyl-L-valyl-L-prolyl-L-phenylalanyl-L-tryptophyl)(9CI)
- Synonyms:1H-Tripyrrolo[1,2-a:1',2'-d:1'',2''-j][1,4,7,10,13,16,19]heptaazacycloheneicosine,cyclic peptide deriv.; Hymenamide A
- Molecular Formula:C46H61 N11 O7
- Molecular Weight:
- CAS Registry Number:148472-99-5
- EINECS:
- Melting Point:
- Water Solubility:
Other Product
- 73157-07-0/propane-1,2,3-triyl tris(4-nitrobenzoate)
- 13643-05-5/1,2-Pentadiene,4-methyl-
- 81054-93-5/1-(2-chloroethyl)-2-nitro-1H-imidazole
- 14418-80-5/N-cyclohexyl-5-ethyl-2-(1,3,4-oxadiazol-2-yl)pyridin-4-amine
- 35558-46-4/4,4'-Bidibenzo[a,g]quinolizinium,5,5',6,6'-tetrahydro-3,3'-dihydroxy-2,2',9,9',10,10'-hexamethoxy-, dichloride(9CI)
- 117505-92-7/2-Cyclohexen-1-one,6-[(1R)-2-(3,4-dimethoxyphenyl)-1-methylethyl]-4-methoxy-6-(2-propen-1-yl)-,(4R,6R)-
- 12337-13-2/Dilithium tripotassium pentaniobate
- 21905-34-0/(3-chlorophenyl)(2-hydroxypropyl)arsinic acid
- 148057-48-1/Cyclo[(3R)-3-phenyl-b-alanyl-(2S)-2-aminobutanoyl-L-prolyl-(2S)-2-aminobutanoyl-L-seryl](9CI)
- 61169-36-6/1,2,4,5,6,8-Hexahydroxyanthracene-9,10-dione
- 23036-77-3/4,5,6(1H)-Pyrimidinetrione,dihydro-2-thioxo-, 5-oxime
- 69914-63-2/chloro(2,3-dihydro-1-benzofuran-2-ylmethyl)mercury
- 71767-18-5/Chromate(1-),bis[3-[2-[8-[[(dimethylamino)sulfonyl]amino]-2-(hydroxy-kO)-1-naphthalenyl]diazenyl-kN1]-4-(hydroxy-kO)benzenesulfonamidato(2-)]-,sodium (1:1)
- 59121-84-5/4β,15-Diacetoxy-12,13-epoxytrichothec-9-ene-3α,7α-diol
- 41790-73-2/2-(2-OXOPYRROLIDIN-1-YL)BENZOIC ACID
- 52476-67-2/2,4-bis(3,5-dimethyl-1H-pyrazol-1-yl)pyrimidine
- 71832-55-8/Phenanthro[1,2-b]thiophene,hexadecahydro-11a-methyl-, (3aS,3bR,9aS,9bR,11aR)-
- 55520-49-5/6-(2,3,5-tri-O-benzoylpentofuranosyl)[1,3]thiazolo[5,4-d]pyrimidine-5,7(4H,6H)-dione
- 21994-41-2/1-(4-cyanobutyl)triaza-1,2-dien-2-ium
- 148472-99-5/Cyclo(L-arginyl-L-prolyl-L-prolyl-L-valyl-L-prolyl-L-phenylalanyl-L-tryptophyl)(9CI)
- 139975-57-8/10H,22H-10,22-Etheno-9a,13-methanoazacycloundecino[3,2-e]azacyclopentadecin-22-ol,1,2,3,4,5,8,9,11,12,14,15,16,17,20,21,22a-hexadecahydro-24-(2,3,4,9-tetrahydro-1H-pyrido[3,4-b]indol-1-yl)-(9CI)
- 154186-66-0/3-hydroxy-2,2-dimethyl-4-[(4-methyl-5-oxo-3,4-diazabicyclo[4.1.0]hept-2-en-2-yl)oxy]-3,4-dihydro-2H-chromene-6-carbonitrile
- 719-82-4/2-(4-fluorophenyl)-2-phenyl-acetonitrile
- 6288-79-5/2-(diethylamino)ethyl 2-[2-(diethylamino)ethoxy]biphenyl-3-carboxylate
- 156848-88-3/9,10-Anthracenedione,1,5,7-trihydroxy-2-methoxy-
- 56069-44-4/2,2,3,3-tetramethoxy-4-phenyl-1-(phenylsulfonyl)cyclobutanecarbonitrile
- 65996-88-5/Benzol forerunnings (coal)
- 85135-98-4/sodium 5-amino-2-(4-aminoanilino)benzenesulphonate
- 6335-84-8/2-(4-methoxybenzyl)benzonitrile
- 29597-83-9/2,3-dihydroxy-N-(2-hydroxyethyl)benzamide
