Current position:Home >Product >
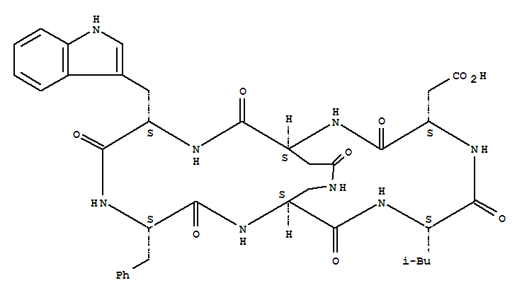
Cyclo(3-amino-L-alanyl-L-leucyl-L-a-aspartyl-L-a-aspartyl-L-tryptophyl-L-phenylalanyl),(4®1)-lactam
Cyclo(3-amino-L-alanyl-L-leucyl-L-a-aspartyl-L-a-aspartyl-L-tryptophyl-L-phenylalanyl),(4®1)-lactam(216299-63-7)
- Name: Cyclo(3-amino-L-alanyl-L-leucyl-L-a-aspartyl-L-a-aspartyl-L-tryptophyl-L-phenylalanyl),(4®1)-lactam
- Synonyms:MEN11282
- Molecular Formula:C37H44 N8 O9
- Molecular Weight:
- CAS Registry Number:216299-63-7
- EINECS:
- Melting Point:
- Water Solubility:
Other Product
- 7010-73-3/1,3,6,9-Tetraoxaspiro[4.4]nonane(8CI,9CI)
- 7355-46-6/4,6-dichloro-N-methyl-N-nitrosopyrimidin-5-amine
- 74113-99-8/C.I. Solvent Blue 87(9CI)
- 15938-03-1/2,4,6-trinitrophenol - 2-methylpyridine (1:1)
- 68919-42-6/Carboxylic acids, C5-9, reaction products with glyoxal and tetraethylenepentamine, cyclized
- 96591-17-2/Fatty acids, linseed-oil, reaction products with 2-amino-2-(hydroxymethyl)-1,3-propanediol and formaldehyde, polymers with Bu methacrylate, 2-(diethylamino)ethyl methacrylate, 2-hydroxyethyl acrylate and Me methacrylate
- 142543-27-9/Kaur-15-en-18-oic acid,13-(b-D-glucopyranosyloxy)-17-oxo-, b-D-glucopyranosyl ester, (4a)-
- 14466-01-4/lead acrylate
- 63870-23-5/Acrylonitrile, methacrylic acid, methyl methacrylate, ethenylbenzene, ethyl acrylate, butyl acrylate, vinyl acetate polymer
- 18194-29-1/4-[(S,E)-1-[(S)-1,2-Dihydroxyethyl]-3-(4-hydroxyphenyl)-2-propenyl]-1,2-benzenediol
- 68891-58-7/Sulfamic acid, reaction products with polyethylene-polypropylene glycol
- 136719-19-2/1-Oxa-8-azaspiro[4.5]decan-3-one,2,8-dimethyl-, O-methyloxime, (3Z)-
- 63378-88-1/2,3-diphenyldecahydrophthalazine
- 66104-59-4/2-{(2Z)-2-[1-(2,5-dichloro-4-sulfophenyl)-3-methyl-5-oxo-1,5-dihydro-4H-pyrazol-4-ylidene]hydrazinyl}benzoic acid
- 90488-99-6/4-Hydroxy-2-methyl-N-(2-pyridinyl)-2H-pyrido[4,3-e]-1,2-thiazine-3-carboxamide 1,1-dioxide
- 74665-08-0/Guar gum, mixedcyanoethyl and hydroxyethyl and hydroxypropyl ethers
- 169181-41-3/4H-1-Benzopyran-4-one,3-[4-[(6-O-D-apio-b-D-furanosyl-b-D-glucopyranosyl)oxy]phenyl]-5-hydroxy-7-methoxy- (9CI)
- 50421-80-2/4-hydroxy-3-methylbut-3-en-2-one
- 216299-63-7/Cyclo(3-amino-L-alanyl-L-leucyl-L-a-aspartyl-L-a-aspartyl-L-tryptophyl-L-phenylalanyl),(4®1)-lactam
- 40870-67-5/2,4,6-trimethoxy-3-nitrobenzyl acetate
- 5304-57-4/5-(2-methoxybenzylidene)-1,3-dimethylpyrimidine-2,4,6(1H,3H,5H)-trione
- 33647-67-5/DL-1-(2,5-DIMETHOXY-2,5-DIHYDROFURAN-2-YL)ETHANOL
- 85251-95-2/Ethanol,2,2'-[[6-[(2-hydroxyethyl)amino]hexyl]imino]bis-, N-C12-18-alkyl derivs.
- 5956-22-9/3β-Hydroxy-28-norolean-13(18)-en-16-one
- 96278-55-6/Castor oil, dehydrated, polymer with p-tert-butylbenzoic acid, glycerol, phthalic anhydride and tetrahydroabietyl alc.
- 83221-49-2/2,7-Naphthalenedisulfonicacid,4,4'-[carbonylbis[imino(5-methoxy-2-methyl-4,1-phenylene)azo]]bis[5-hydroxy-,lithium sodium salt (9CI)
- 161692-87-1/[1,1'-Biphenyl]-4-butanamide,2',4'-difluoro-a-methyl-g-oxo-N-(1-phenylethyl)-,[R-(R*,S*)]- (9CI)
- 21823-36-9/2-methylbutan-2-yl nitrate
- 5469-22-7/N-(4-methylphenyl)benzenesulfinamide
- 126715-82-0/Benzoic acid,3,4,5-trihydroxy-,(2R,2'R,3R,3'R,4R)-2'-(3,4-dihydroxyphenyl)-3,3',4,4'-tetrahydro-3,5,5',7,7'-pentahydroxy-2-(3,4,5-trihydroxyphenyl)[4,8'-bi-2H-1-benzopyran]-3'-ylester
