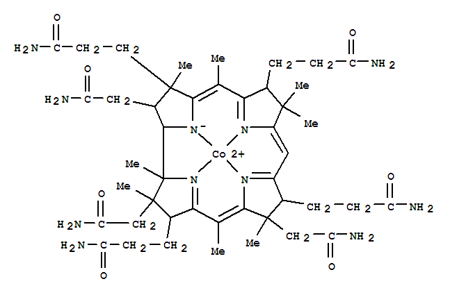
Cobyrinamide-Co(1+)(8CI,9CI)(14708-98-6)
- Name: Cobyrinamide-Co(1+)(8CI,9CI)
- Synonyms:Cobyrinamide-Co(II);Cobyrinic-Co(1+) acid-abcdefg-heptamide; Cobyrinic-Co(II)acid-abcdefg-heptamide
- Molecular Formula:C45H66 Co N11 O7
- Molecular Weight:
- CAS Registry Number:14708-98-6
- EINECS:
- Melting Point:
- Water Solubility:
Other Product
- 202608-57-9/NEAK
- 5803-98-5/methyl 4-(3-ethoxyphenyl)-2,7,7-trimethyl-5-oxo-1,4,5,6,7,8-hexahydroquinoline-3-carboxylate
- 56742-03-1/N-(2-amino-6-methyl-4-oxo-1,4-dihydropyrimidin-5-yl)-2-nitrobenzamide
- 119275-54-6/1,3-Isobenzofurandione, 5,5-(2,2,2-trifluoro-1-(trifluoromethyl)ethylidene)bis-, polymer with 3,3-(1,3-phenylenebis(oxy))bis(benzenamine), 3-ethynylbenzenamine-terminated
- 89979-06-6/1-chloro-4-ethoxy-2-nitrobenzene
- 5251-42-3/4-ethyl-2,5-dioxoimidazolidine-4-carboxylic acid
- 163633-91-8/3H,7H-Benzofuro[3,2-b]pyrano[2,3-h][1]benzopyran-7-one,7a,12b-dihydro-6,7a,10-trihydroxy-3,3-dimethyl-9,12b-bis(3-methyl-2-butenyl)-(9CI)
- 73713-64-1/copper(2+) bis[3-(ethylsulfamoyl)benzoate]
- 79798-95-1/2-((2-Methylbenzoyl)imino)-5-nitro-3(2H)-thiazoleacetamide
- 73813-49-7/2-(3-METHYLPHENOXY)ETHANOL
- 17247-77-7/12DIHYDRO25NITROFURYL4HYDROXYCHINAZOLIN3OXIDE
- 40755-09-7/1-(1-Propylbutyl)-3-phenylurea
- 139605-55-3/5-methyl-3,5-dihydro[1,2,4]triazino[3,4-c][1,4]benzoxazin-2(1H)-one
- 85136-32-9/trisodium 4-amino-3-[[4-[[4-[(2,4-dihydroxyphenyl)azo]-6(or 7)-sulphonato-1-naphthyl]azo]phenyl]azo]-5-hydroxy-6-(phenylazo)naphthalene-2,7-disulphonate
- 71477-18-4/(4-decoxy-2-hydroxy-phenyl)-phenyl-methanone
- 70131-52-1/N-Methoxypolyethoxyethyl-N-polyethoxyethyl-N-methyl-(C20-C22)alkylaminium methyl sulfate
- 7066-05-9/N-(3,5-dimethylphenyl)-5-[(4-methylpiperazin-1-yl)sulfonyl]pyridin-2-amine
- 220446-07-1/Poly(oxy-1,2-ethanediyl), alpha-(3-carboxy-1-oxopropyl)-omega-phenoxy-, styrenated
- 14708-98-6/Cobyrinamide-Co(1+)(8CI,9CI)
- 14620-44-1/Phosphorothioic acid,O,S-diethyl O-[6-methyl-2-(1-methylethyl)-4-pyrimidinyl] ester
- 127153-87-1/1-(1,2,2-trimethylindan-1-yl)ethanone
- 2266-56-0/3-fluoro-4-hydroxy-4-methyltetrahydro-2H-pyran-2-one (non-preferred name)
- 7473-61-2/2-phenylethyl (4-methyl-9H-xanthen-9-yl)carbamate
- 71172-61-7/4-[3-chloro-1-(1-methylethoxy)propyl]toluene
- 76754-59-1/PK 4231
- 1332-25-8/Ochers (weathering residues) See also C.I. Pigment Red 102
- 67293-40-7/3,4,5-Trimethoxybenzoic acid 4-[ethyl(phenethyl)amino]-1-ethylbutyl ester
- 56092-26-3/L-leucyl-L-valyl-L-prolyl-L-cysteinyl-Lalanyl-L-tryptophyl-L-alanylglycyl-Lasparaginyl-L-valyl-L-cysteinylglycyl-Lr-glutamyl-L-lysyl-L-arginyl-L-alanyl-L-tyrosyl-L-cysteinyl-L-cysteinyl-Lseryl-L-r-aspartyl-L-prolylglycyl-Larginyl-L-tyrosyl-L-cysteinyl-L-prolyl-L-tryptophyl-L-glutaminyl-L-valyl-Lvalyl-L-cysteinyl-L-tyrosyl-L-rglutamyl-L-seryl-L-seryl-L-r-glutamyl-L-isoleucyl-L-cysteinyl-L-seryl-L-lysyl-L-lysyl-L-cysteinylglycyl-
- 5620-51-9/(4E)-4-[({4-[(2-hydroxyethyl)sulfonyl]phenyl}amino)methylidene]-5-methyl-2-phenyl-2,4-dihydro-3H-pyrazol-3-one
- 101607-37-8/N,N-diethyl-3-(9-methyl-7,9-diazabicyclo[3.3.1]non-7-yl)propan-1-amine trihydrochloride
