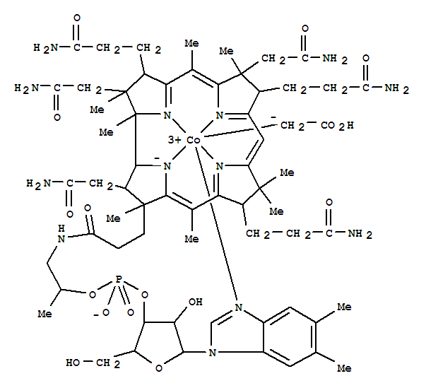
Co-(carboxymethyl)cobalamin(14517-61-4)
- Name: Co-(carboxymethyl)cobalamin
- Synonyms:Cobinamide,Co-(carboxymethyl) deriv., dihydrogen phosphate (ester), inner salt, 3'-esterwith 5,6-dimethyl-1-a-D-ribofuranosyl-1H-benzimidazole; Cobinamide, Co-(carboxymethyl) deriv.,hydroxide, dihydrogen phosphate (ester), inner salt, 3'-ester with 5,6-dimethyl-1-a-D-ribofuranosylbenzimidazole(8CI); Cobinamide, phosphate, 3'-ester with 5,6-dimethyl-1-a-D-ribofuranosylbenzimidazole,Co-(carboxymethyl) deriv., inner salt (7CI); Carboxymethyl-vitamin B12;Cobalamin, Co-(carboxymethyl)-
- Molecular Formula:C64H91 Co N13 O16 P
- Molecular Weight:1388.391801
- CAS Registry Number:14517-61-4
- EINECS:
- Melting Point:
- Water Solubility:
Other Product
- 14548-31-3/1-Hexen-5-yne
- 14542-15-5/METHYL 4-METHYLTHIAZOLE-2-CARBOXYLATE
- 14539-67-4/2-Butanone, 4-methoxy-3-methyl- (6CI,7CI,8CI,9CI)
- 14538-81-9/Pyrimidine, 4-amino-2-methyl-6-(methylamino)- (6CI,8CI)
- 14537-56-5/1H-Benzimidazole-2-carboxaldehyde,1-methyl-,oxime,3-oxide(9CI)
- 14537-01-0/3-FLUORO-3-DEOXY-D-XYLOFURANOSE
- 14535-83-2/norephendrinetheophylline
- 14534-82-8/4,6-O-BENZYLIDENE-N-CBZ-D-GLUCOSAMINE
- 14534-56-6/Thieno[2,3-g]benzothiazole, 2-amino-8-methyl- (7CI,8CI)
- 14533-84-7/PENTAFLUOROPHENYL TRIFLUOROACETATE
- 14531-84-1/6-DEHYDRONANDROLONE
- 14531-02-3/B-BENZYL-N-CBZ-D-GLUCOSAMINIDECRYSTALLIN E
- 14529-54-5/3,5-DIBROMO-1-METHYL-1H-PYRIDIN-2-ONE
- 14529-49-8/1H-Pyrrolo[3,4-d]pyrimidine (8CI,9CI)
- 14529-00-1/BETA-ALANINE BENZYL ESTER
- 14525-74-7/Formohydroxamic acid, N-(1-carbamoyl-2-methylpropyl)- (8CI)
- 14520-13-9/L-Arabinitol, 3-O-methyl-, tetraacetate
- 14519-11-0/MAGNESIUM BROMIDE AR
- 14518-94-6/CADMIUM BROMATE
- 14517-61-4/Co-(carboxymethyl)cobalamin
- 14517-45-4/H-MET-GLY-MET-MET-OH
- 14517-43-2/H-MET-SER-OH
- 14517-29-4/NEODYMIUM NITRATE HYDRATE/ 99.9%
- 14515-39-0/Hexafluorodisiloxane
- 14513-43-0/3,3''-(1-METHYLETHYLIDENE)BIS-7-OXABICYCLO[4.1.0]HEPTANE
- 14511-59-2/Ethyl 4-[2-(5-Chloro-2-methoxybenzamido)ethyl]benzene Sulfonamide Carbamate
- 14510-36-2/a-((Acetyloxy)methyl)benzeneaceticacid
- 14506-33-3/1-(4-CHLOROPHENYL)-3-BUTEN-1-OL 97
- 14505-42-1/4-Morpholineglyoxyloyl chloride (8CI)
- 14504-60-0/5'-O-METHYLTHYMIDINE
