Current position:Home >Product >
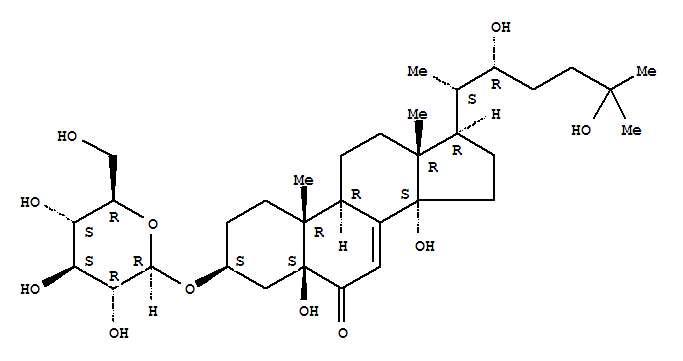
Cholest-7-en-6-one, 3-(b-D-glucopyranosyloxy)-5,14,22,25-tetrahydroxy-,(3b,5b,22R)- (9CI)
Cholest-7-en-6-one, 3-(b-D-glucopyranosyloxy)-5,14,22,25-tetrahydroxy-,(3b,5b,22R)- (9CI)(170663-52-2)
- Name: Cholest-7-en-6-one, 3-(b-D-glucopyranosyloxy)-5,14,22,25-tetrahydroxy-,(3b,5b,22R)- (9CI)
- Synonyms:SileneosideF; Silenoside F
- Molecular Formula:C33H54 O11
- Molecular Weight:
- CAS Registry Number:170663-52-2
- EINECS:
- Melting Point:
- Water Solubility:
Other Product
- 88654-74-4/Furo(3,2-c)quinoline, 8-methoxy-4-methyl-2-(1-(2-methylpropoxy)ethyl)-
- 119660-63-8/Card-20(22)-enolide,3-[(4-O-b-D-glucopyranosyl-b-D-glucopyranosyl)oxy]-14,19-dihydroxy-,(3b,5a)- (9CI)
- 42460-67-3/10-benzyl-3,7-bis(1,1,3,3-tetramethylbutyl)-10H-phenothiazine
- 86842-37-7/5-(1-Ethyl-1-methylpentyl)-5H-tetrazole
- 93962-72-2/1,4-diazoniabicyclo[2.2.2]octane bis(toluene-p-sulphonate)
- 29721-79-7/hydroxybutyl methacrylate
- 529-79-3/(5S,11S)-5,6,11,12-Tetrahydro-2,3,8,9-tetramethoxy-5,11-epiminodibenzo[a,e]cyclooctene
- 86071-23-0/1,5-di-tert-butyl-2-methoxy-3-(4-methoxybenzyl)benzene
- 72379-16-9/Phosphoramidic acid, ((9Z)-1-oxo-9-octadecenyl)-, sulfurized
- 155271-82-2/1H-Purine-2,6-dione, 3,7-dihydro-1,3-diethyl-8-(2-(3-nitrophenyl)ethen yl)-, (E)-
- 149471-13-6/Antho-RPamide II
- 1795-56-8/dimethyl mercaptosuccinate
- 62008-13-3/(Z)-1-(4-Bromo-2,5-dihydroxyphenyl)-3,7-dimethyl-2,6-octadien-1-one
- 19161-86-5/2-bromo-N-(3-{2-[3-(4,6-diamino-2,2-dimethyl-1,3,5-triazin-1(2H)-yl)phenoxy]ethoxy}phenyl)acetamide
- 112808-22-7/AD-5467
- 18979-65-2/4-heptylbenzene-1,3-diol
- 60560-20-5/1-cyano-2-(2-methylpropyl)-3-pyridin-3-ylguanidine
- 671-13-6/N-(2-bromophenyl)-4-fluorobenzamide
- 79779-97-8/Durafarm A
- 170663-52-2/Cholest-7-en-6-one, 3-(b-D-glucopyranosyloxy)-5,14,22,25-tetrahydroxy-,(3b,5b,22R)- (9CI)
- 12005-20-8/Aluminum thulium oxide (Al5Tm3O12)
- 12190-70-4/Copper, mol. (Cu2)
- 123689-72-5/histidyl-arginyl-alanyl-tryptophyl-phenylalanyl-lysinamide
- 89856-65-5/chloro(3-oxobicyclo[2.2.1]hept-2-yl)mercury
- 106928-28-3/Naphth[1,2,3-cd]indole,8-chloro-2,6,6a,7,8,9,10,10a-octahydro-10-isocyano-6,6,9-trimethyl-9-(2-oxiranyl)-,(6aS,8R,9S,10R,10aR)-
- 72088-86-9/4-[(3,4-dichlorophenyl)azo]-N-(2-ethylphenyl)-3-hydroxynaphthalene-2-carboxamide
- 10496-75-0/2-methoxy-5-nitrobenzonitrile
- 81916-73-6/bis(bromoacetyl)hexestrol
- 25987-55-7/CALCIUMPOLYCARBOPHIL
- 64511-78-0/1-(3-aminophenoxy)-3-(4-phenylpiperidin-1-yl)propan-2-ol
