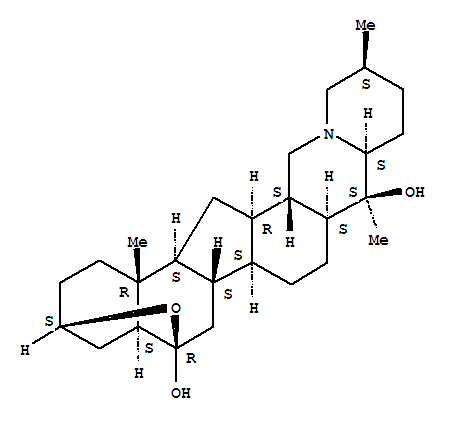
Cevane-6,20-diol,3,6-epoxy-, (3b,5a,6b)- (9CI)(22263-72-5)
- Name: Cevane-6,20-diol,3,6-epoxy-, (3b,5a,6b)- (9CI)
- Synonyms:5a-Cevane-6a,20-diol, 3b,6-epoxy- (8CI);3,5-Epoxybenzo[7,8]fluoreno[2,1-b]quinolizine, cevane-6,20-diol deriv.; a-Isoimperialine
- Molecular Formula:C27H43 N O3
- Molecular Weight:
- CAS Registry Number:22263-72-5
- EINECS:
- Melting Point:
- Water Solubility:
Other Product
- 72152-62-6/disodium 3-[[4-amino-9,10-dihydro-3-[2-hydroxy-3-(sulphonatooxy)propoxy]-9,10-dioxo-1-anthryl]amino]-2,4,6-trimethylbenzenesulphonate
- 23585-77-5/N,N-dimethyl-2-(5-methyl-2-nitro-1H-imidazol-1-yl)acetamide
- 75013-85-3/(2E)-N-phenyl-2-[1-(pyridin-2-yl)ethylidene]hydrazinecarboxamide
- 118593-84-3/lysyl-phenylalanyl-phenylalanyl-phenylalanyl-isoleucyl-isoleucyl-tryptophyl methyl ester
- 75524-41-3/5-Amino-4-nitroso-1,2-dihydro-3H-pyrazol-3-one
- 53790-74-2/1,2,4-Triazin-5(2H)-one,3,4-dihydro-6- methyl-3-thioxo-,compd. with methylhydrazine (1:1)
- 6094-33-3/diethyl {[(3-chloro-4-methoxyphenyl)amino]methylidene}propanedioate
- 202531-25-7/Caerin 1.9
- 5873-16-5/SULFORHODAMINE G
- 67859-42-1/Diamminesilver(1+) bis(cyano-C)aurate(1-)
- 109758-26-1/1-{3-[4-(diphenylmethyl)piperazin-1-yl]propyl}-6-phenylpiperidin-2-one ethanedioate
- 79392-37-3/N-[4-(4,5-dihydro-3-methyl-5-oxo-1H-pyrazol-1-yl)phenyl]acrylamide
- 137031-55-1/Ponganone II
- 64048-10-8/2-chloro-N-ethyl-N-(thiophen-2-ylmethyl)ethanamine hydrochloride (1:1)
- 17183-41-4/4-Chloro-N-[4-hydroxy-3-[(piperidino)methyl]phenyl]benzamide
- 2011-22-5/(19Z)-4-methylsarpagan-4-ium-17-ol chloride
- 25048-93-5/Indium,[[2,2',2''-nitrilotris[ethanolato-kO]](3-)]- (9CI)
- 87142-68-5/1-(3,4-dichlorophenyl)-3-(dimethylamino)-2-[(dimethylamino)methyl]propan-1-one
- 22263-72-5/Cevane-6,20-diol,3,6-epoxy-, (3b,5a,6b)- (9CI)
- 167394-79-8/Benzenepropanamide,3,5-dibromo-2-hydroxy-a-(hydroxyimino)-N-[2-(1H-imidazol-4-yl)ethyl]-4-methoxy-, (aE)- (9CI)
- 21016-37-5/4-[bis[4-(diethylamino)phenyl]methyl]benzene-1,3-disulphonic acid
- 148348-13-4/ALPHA,ALPHA,4,4-TETRAMETHYL-2-(1-METHYLETHYL)-N-(2-METHYLPROPYLIDENE)-3-OXAZOLIDINEETHANAMINE
- 2804-50-4/2-CHLOROPENTAFLUOROPROPENE
- 165549-98-4/2-methyl-1-(1-methylethyl)propyl 2-chloro-5-{[(1-methylethoxy)carbonothioyl]amino}benzoate
- 57611-90-2/methyl 1-benzyl-4-[(phenylcarbonyl)amino]piperidine-4-carboxylate ethanedioate
- 54244-36-9/1,8-dihydroxy-6-methoxy-9-oxo-9H-xanthen-2-yl 6-O-(6-deoxyhexopyranosyl)hexopyranoside
- 96638-28-7/RICIN, A CHAIN
- 106971-43-1/2-(1,3-dithiol-2-ylidene)-1-naphthalen-2-ylbutane-1,3-dione
- 20041-39-8/Eugenolol
- 6128-45-6/5-({[6-methyl-2-(methylsulfanyl)pyrimidin-4-yl]sulfanyl}methyl)-4-prop-2-en-1-yl-2,4-dihydro-3H-1,2,4-triazole-3-thione
