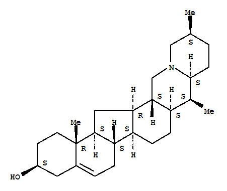
Cevan-3-ol,5,6-didehydro-, (3b,20b)- (9CI)(70598-84-4)
- Name: Cevan-3-ol,5,6-didehydro-, (3b,20b)- (9CI)
 - Synonyms:Benzo[7,8]fluoreno[2,1-b]quinolizine,cevan-3-ol deriv.; (25S)-20-Epicev-5-enin-3b-ol; Shinonomenine
 - Molecular Formula:C27H43 N O
 - Molecular Weight:397.63642
 - CAS Registry Number:70598-84-4
 - EINECS:
 - Melting Point:
 - Water Solubility:
 
	   Other Product
- 5267-92-5/N-(2-chlorophenyl)-5-(4-nitrophenyl)furan-2-carboxamide
 - 688-55-1/Glycine,N,N'-1,2-ethanediylbis[N-(carboxymethyl)-, labeled with carbon-14 (9CI)
 - 77164-82-0/3-[(1,2-dimethyl-4-nitro-1H-imidazol-5-yl)sulfanyl]-5-phenyl-1,2,4-triazine
 - 94113-54-9/(diphenylphosphino)dimethylindium
 - 56757-75-6/decane-1,10-diyl dicarbonochloridate
 - 83027-45-6/disodium 8-[[4-(1,1-dimethylethyl)-2-sulphonatophenyl]amino]-9,10-dihydro-1-hydroxy-5-[(1-methylethyl)amino]-9,10-dioxoanthracene-2-sulphonate
 - 116610-66-3/4-(methylsulfanyl)-2-phenyl-6-[2-(trifluoromethyl)phenyl]pyridine
 - 1835-15-0/1-[4-(benzyloxy)-3-methoxyphenyl]propan-1-one
 - 50687-01-9/Naphtho[1,2-h]quinoline-3,8-diol,1-[(1R)-1,5-dimethyl-4-methylenehexyl]-1,2,3,5,6,6a,7,8,9,10,10a,11,12,12a-tetradecahydro-10a,12a-dimethyl-,(1R,6aS,8S,10aS,12aR)-
 - 73322-99-3/2,6-dimethyl-6-[(E)-propan-2-yldiazenyl]heptan-2-yl
 - 52957-12-7/trans-7-decenol
 - 6274-29-9/2-amino-5-methoxy-benzenethiol
 - 6296-94-2/N-(2-hydrazinyl-2-oxoethyl)-2-phenylacetamide (non-preferred name)
 - 6324-32-9/1-(diethylamino)-3-[(6-methoxyquinolin-8-yl)amino]-2-methylpropan-2-ol
 - 67130-66-9/6-AMINO-5-(2-CHLORO-ACETYL)-1,3-DIMETHYL-1H-PYRIMIDINE-2,4-DIONE
 - 68424-80-6/Phenol, o-cresol, cresylic acid, tung oil, rosin, oiticica oil, formaldehyde resin
 - 68855-35-6/Formaldehyde, reaction products with dodecylphenol and methylamine
 - 5807-19-2/5H-Cyclopenta[c]pyridine-5,7(6H)-dione
 - 25758-31-0/Phosphorodiamidothiousacid (8CI,9CI)
 - 70598-84-4/Cevan-3-ol,5,6-didehydro-, (3b,20b)- (9CI)
 - 91697-41-5/Fatty acids,C6-19-branched, nickel salts
 - 88873-92-1/O-butan-2-yl O,O-diphenyl phosphorothioate
 - 5449-30-9/(3-methylcyclohexylidene)(phenyl)acetic acid
 - 67360-94-5/Piperidine,1,1',1''-arsinidynetris-, trihydrochloride (9CI)
 - 318-55-8/12H-Cyclopenta[2,1-b:3,4-b']diquinoline(8CI,9CI)
 - 167173-90-2/isochromophilone IV
 - 73070-45-8/Poly(oxy-1,2-ethanediyl),a-[2-(dodecyldimethylammonio)acetyl]-w-hydroxy-, branched and linearnonylphenyl ethers, chlorides
 - 72749-43-0/3'H-Cyclopropa[2,3]pregn-2-ene(9CI)
 - 27895-67-6/1-(3,4-dimethoxyphenyl)-N-phenyl-methanimine
 - 400744-83-4/4-(3-METHYLPHENYL)BENZALDEHYDE
 
