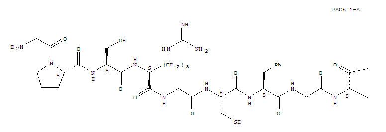
C-Type natriureticpeptide-22 (Triakis scyllium reduced) (9CI)(145022-39-5)
- Name: C-Type natriureticpeptide-22 (Triakis scyllium reduced) (9CI)
 - Synonyms:C-Typenatriuretic factor-22 (pig reduced),2-L-proline-4-L-arginine-9-L-valine-16-L-alanine-; C-Type natriuretic factor-22(Triakis scyllium reduced); L-Cysteine,glycyl-L-prolyl-L-seryl-L-arginylglycyl-L-cysteinyl-L-phenylalanylglycyl-L-valyl-L-lysyl-L-leucyl-L-a-aspartyl-L-arginyl-L-isoleucylglycyl-L-alanyl-L-methionyl-L-serylglycyl-L-leucylglycyl-
 - Molecular Formula:C91H153 N29 O27 S3
 - Molecular Weight:
 - CAS Registry Number:145022-39-5
 - EINECS:
 - Melting Point:
 - Water Solubility:
 
	   Other Product
- 30179-51-2/ethylnitrobenzene
 - 64756-04-3/(3R,5S,5'R,8'aβ)-4'aα-Acetoxymethyl-5-(3-furyl)-2',3',4,5,6',7',8',8'a-octahydro-2'α-methyldispiro[furan-3(2H),1'(5'H)-naphthalene-5',2''-oxirane]-2,4'(4'aH)-dione
 - 31196-10-8/Hexanenitrile, amino-
 - 7099-25-4/Truxane
 - 90622-89-2/Amides, C8-22, N-(hexahydro-2-oxo-1H-azepin-3-yl)
 - 6382-19-0/ANABASINESULPHATE
 - 68526-05-6/Fatty acids, C18-unsatd, dimers, polymers with adipic acid, ethylenediamine, hexamethylenediamine and lauric acid
 - 68426-24-4/2-Butenedioic acid (2E)-, polymer with 1,3-butadiene, ethenylbenzene and 2-propenamide, ammonium salt
 - 2452-14-4/sodium 2-ethylbutyrate
 - 94200-06-3/2-ethylheptyl formate
 - 92201-44-0/Artemisia mendozana, ext.
 - 155717-88-7/(5E)-2-amino-5-[2-(4-chlorophenyl)-2-oxoethylidene]-1,3-oxazol-4(5H)-one
 - 81924-72-3/L-Prolinamide,N-benzoyl-D-alanyl-N-[(1S)- 4-[(aminoiminomethyl)amino]-1-formylbutyl]-
 - 30043-55-1/1-[5-(butylsulphonyl)-1,3,4-thiadiazol-2-yl]-1,3-dimethylurea
 - 78245-94-0/Butanamide, 2,2-(3,3-dichloro1,1-biphenyl-4,4-diyl)bis(azo)bisN-(2,3-dihydro-2-oxo-1H-benzimidazol-5-yl)-3-oxo-
 - 6135-69-9/N-(3,4-dimethylphenyl)-2,5-dimethylbenzenesulfonamide
 - 35913-05-4/Carbamic acid,(3-isocyanatomethylphenyl)-,2- propenyl ester
 - 70955-61-2/Butanamide, 4-hydroxy-N-(2-hydroxyethyl)-N-methyl-, polymer with 1,2-ethanediol, 1,3-isobenzofurandione and 5-isocyanato-1-(isocyanatomethyl)-1,3,3-trimethylcyclohexane, 2-hydroxyethyl acrylate-blocked
 - 8066-79-3/BIR 10
 - 145022-39-5/C-Type natriureticpeptide-22 (Triakis scyllium reduced) (9CI)
 - 65652-34-8/Hexane-1,6-diol, compound with N-ethyldibutylamine (1:2)
 - 68389-78-6/2-Imidazoline, 1-(2-aminoethyl)-2-(tall oil alkyl), ethoxylated, dihydrochloride salt
 - 58953-15-4/(2E)-3-chloro-1-(4-ethylphenyl)prop-2-en-1-one
 - 103763-50-4/Spiro[2,5-ethano-2H-azocino[4,3-b]indole-4(3H),2'-oxirane],1,5,6,7-tetrahydro-3'-methyl-6-methylene-, (2R,2'R,3'R,5S)- (9CI)
 - 41157-58-8/barium bis(p-nonylphenolate)
 - 80931-03-9/Cistadienic acid
 - 69091-17-4/3-(Acetyloxy)-3-methylbutanoic acid (1S)-1-(1,4-dihydro-5,8-dihydroxy-1,4-dioxo-2-naphthalenyl)-4-methyl-3-pentenyl ester
 - 94349-55-0/8-aminonaphthalene-1,3,5-trisulphonic acid, sodium salt
 - 947-82-0/2,4-Dihydro-4,4,5-trimethyl-2-phenyl-3H-pyrazol-3-one
 - 92623-51-3/Benzenesulfonic acid, hydroxymethyl-, reaction products with formaldehyde and urea
 
