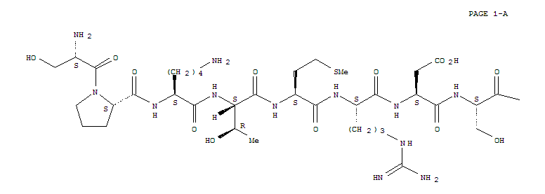
Brain natriureticpeptide-32 (swine reduced) (9CI)(119320-26-2)
- Name: Brain natriureticpeptide-32 (swine reduced) (9CI)
- Synonyms:Natriureticfactor-26 (pig brain reduced),N-[N2-[N-[N-[N2-(1-L-seryl-L-prolyl)-L-lysyl]-L-threonyl]-L-methionyl]-L-arginyl]-;330: PN: WO0069900 SEQID: 512 unclaimed sequence; 425: PN: US20090175821 SEQID:512 claimed protein; 45: PN: US6028055 SEQID: 45 unclaimed sequence; 4: PN:US20010027181 SEQID: 6 unclaimed sequence; 6: PN: US20060051825 SEQID: 4unclaimed sequence; L-Tyrosine,L-seryl-L-prolyl-L-lysyl-L-threonyl-L-methionyl-L-arginyl-L-a-aspartyl-L-serylglycyl-L-cysteinyl-L-phenylalanylglycyl-L-arginyl-L-arginyl-L-leucyl-L-a-aspartyl-L-arginyl-L-isoleucylglycyl-L-seryl-L-leucyl-L-serylglycyl-L-leucylglycyl-L-cysteinyl-L-asparaginyl-L-valyl-L-leucyl-L-arginyl-L-arginyl-;Natriuretic factor-32 (pig brain reduced)
- Molecular Formula:C149H252 N52 O44 S3
- Molecular Weight:
- CAS Registry Number:119320-26-2
- EINECS:
- Melting Point:
- Water Solubility:
Other Product
- 128723-54-6/2-ethoxy-3-(hexadecyloxy)propyl 2-(propan-2-ylammonio)ethyl phosphate
- 6238-70-6/[4-[3-(tert-butylcarbamoyl)phenyl]phenyl] acetate
- 74936-99-5/(S-(R*,R*))-2-(Hydroxyphenylmethyl)-1-pyrrolidinemethanol
- 29079-94-5/7-broMothieno[3,2-c]pyridin-4(5H)-one
- 99458-04-5/6β,21-Dihydroxy-3α-(sodiosulfooxy)-5α-cholestan-12β-yl β-D-glucopyranoside
- 161068-62-8/6-Indolizinemethanol,1,2,3,5,6,7-hexahydro-6-methyl-a-(1-methylethylidene)-, (+)-
- 107311-57-9/Ethanaminium,2-chloro-N,N,N-trimethyl-,chloride,mixt. with N,N'-diphenylurea
- 71571-90-9/PH 50-98
- 36774-70-6/2-(2-Hydroxyphenyl)-5-benzothiazoleacetic acid
- 39770-04-2/non-8-enal
- 332374-77-3/4-CHLORO-6-(THIAZOL-2-YLCARBAMOYL)-CYCLOHEX-3-ENECARBOXYLIC ACID
- 134237-40-4/Trichlorotrifluoropropane
- 71549-87-6/1,3-Isobenzofurandione, 3a,4,7,7a-tetrahydro-, polymer with 2,2-bis(bromomethyl)-1,3-propanediol, 1,2-ethanediol and 2,5-furandione, brominated
- 26979-17-9/1-ethyl-4-phenylpiperidine-4-carbaldehyde
- 28271-97-8/4-(acetylamino)-N-[(Z)-2-(2-chlorophenyl)-1-(hydrazinocarbonyl)ethenyl]benzamide
- 83572-74-1/2(Or 3)-methylbutan-1-ol
- 2159-48-0/2-benzoyl-5-methoxybenzoic acid
- 12239-37-1/C.I. Reactive Blue 3
- 155836-04-7/b-D-Glucopyranosiduronic acid, (3b)-17-carboxy-28-norolean-12-en-3-ylO-b-D-galactopyranosyl-(1®3)-O-[b-D-xylopyranosyl-(1®2)]-
- 119320-26-2/Brain natriureticpeptide-32 (swine reduced) (9CI)
- 59029-39-9/AO 6
- 6309-42-8/4-(diethylamino)-2,2-diphenylbutanoic acid
- 573-35-3/(2,3,4,5,6-pentahydroxycyclohexyl)oxyphosphonic acid
- 59561-55-6/Cobalt(3+), hexaammine-, (OC-6-11)-, salt with trifluoroacetic acid(1:3)
- 227597-36-6/2-Pyrrolidineacetamide,4-[(2E,4E,6E,8E,10Z,12E,14Z)-11-chloro-15-[(2S,3S,5R)-3-chlorotetrahydro-5-methyl-2-furanyl]-1-hydroxy-2,4,6,8,10,12,14-pentadecaheptaenylidene]-1-(O-5-deoxy-2-O-methyl-b-D-arabinofuranosyl-(1®4)-O-b-D-arabinopyranosyl-(1®2)-b-D-xylopyranosyl)-3,5-dioxo-, (2S,4Z)- (9CI)
- 128563-23-5/(3S,7R,10R,11R)-10-[(2R,3R,4R,5R,6S)-4-Amino-3,5-dihydroxy-6-methyl-oxan-2-yl]oxy -3,11-diethyl-7 -methyl-1-azacyclotetradecan-2-one
- 80373-19-9/7-hydroxy-2-(4-hydroxy-3-methoxyphenyl)-5-(3-hydroxypropyl)-2,3-dihydro-1-benzofuran-3-yl 6-deoxy-alpha-L-mannopyranoside
- 77234-70-9/1-{2-[4-(acetylamino)phenyl]-2-oxoethyl}-1H-imidazol-1-ium chloride
- 41816-03-9/3,7'-Dimethyl-3,4,4a,5,8,8a-hexahydrospiro-(1,4-methanonaphthalene- 2(1H),2'-oxirane)
- 24719-82-2/N6-[((1S,2R)-1-CARBOXY-2-HYDROXYBUTYLAMINO)CARBONYL]ADENOSINE SODIUM SALT
