Current position:Home >Product >
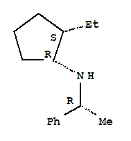
Benzenemethanamine, N-(2-ethylcyclopentyl)-alpha-methyl-, [1R-[1alpha(R*),2alpha]]- (9CI)
Benzenemethanamine, N-(2-ethylcyclopentyl)-alpha-methyl-, [1R-[1alpha(R*),2alpha]]- (9CI)(752161-82-3)
- Name: Benzenemethanamine, N-(2-ethylcyclopentyl)-alpha-methyl-, [1R-[1alpha(R*),2alpha]]- (9CI)
- Synonyms:Benzenemethanamine,N-(2-ethylcyclopentyl)-a-methyl-, [1R-[1a(R*),2a]]- (9CI)
- Molecular Formula:C15H23 N
- Molecular Weight:217.34982
- CAS Registry Number:752161-82-3
- EINECS:
- Melting Point:
- Water Solubility:
Other Product
- 752186-89-3/4(1H)-Pyridinone, 3-hydroxy-2-(1-methoxypropyl)-1,6-dimethyl- (9CI)
- 752182-23-3/1-Piperazinecarboximidicacid,4-methyl-,hydrazide(9CI)
- 752181-59-2/Cyclopentanecarboxylic acid, 2-amino-, ethyl ester, (1S-trans)- (9CI)
- 752180-92-0/Piperidine, 1-(3-azetidinyl)-2,6-dimethyl- (9CI)
- 752176-87-7/1H-Imidazole-4-propanethioamide, -bta--methyl- (9CI)
- 752176-43-5/Pyrrolo[3,4-c]pyrazole, 2,4,5,6-tetrahydro-2-methyl- (9CI)
- 752173-14-1/4-Isoxazoleethanol, 5-(aminomethyl)-3-hydroxy- (9CI)
- 752172-27-3/Thiazolidine, 3-(1-methylethyl)- (9CI)
- 752170-69-7/D-Arabinonic acid, 3-amino-3-deoxy-, gamma-lactone (9CI)
- 752170-00-6/Piperidine, 4-(aminooxy)-1-methyl- (9CI)
- 752169-56-5/1H-Indole,octahydro-,(3aR-cis)-(9CI)
- 752169-32-7/Ethanone, 1-(1-azabicyclo[2.2.1]hept-3-yl)-2-bromo-, exo- (9CI)
- 752168-02-8/2H-Imidazole, 2-(phenylazo)- (9CI)
- 752165-83-6/Ethanone, 2-chloro-1-[5-chloro-2-[[1-(phenylmethyl)-3-pyrrolidinyl]amino]phenyl]-
- 752163-59-0/2(1H)-Pyridinimine,1-ethyl-6-methyl-(9CI)
- 752161-82-3/Benzenemethanamine, N-(2-ethylcyclopentyl)-alpha-methyl-, [1R-[1alpha(R*),2alpha]]- (9CI)
- 752161-26-5/beta-L-Galactopyranose, 3-amino-2,3,6-trideoxy-2-fluoro- (9CI)
- 752160-52-4/Alanine, 3-[[(methylamino)carbonyl]amino]- (9CI)
- 752156-64-2/Piperazinimine, 4-ethyl-1-phenyl- (9CI)
- 752154-64-6/transNemonapride
- 752154-18-0/1H-Isoindole-1-carboxylicacid,2-amino-2,3-dihydro-,methylester(9CI)
- 752153-75-6/1-Propanamine, 3-[(1H-imidazol-4-ylmethyl)thio]- (9CI)
- 752151-13-6/Ornithine, 2-ethynyl-, methyl ester (9CI)
- 752151-02-3/1-Cyclopenten-1-ol, 3-butyl-3-methyl- (9CI)
- 752149-07-8/2-Cyclohexene-1-acetic acid, 1-hydroxy- (9CI)
- 752148-79-1/Benzenemethanesulfonic acid, 4-ethyl- (9CI)
- 752148-55-3/Benzoic acid, 2-[[(4,5-dihydro-1H-imidazol-2-yl)carbonyl]amino]-, methyl ester
- 752147-90-3/Carbonodithioic acid, O-[(5-ethyl-1,3-dioxan-5-yl)methyl] ester (9CI)
- 752145-97-4/Phenol, 2-(2-aminopropyl)-4-methoxy-5-methyl-, (S)- (9CI)
