Bacillomycin F5 (9CI)(107814-43-7)
- Name: Bacillomycin F5 (9CI)
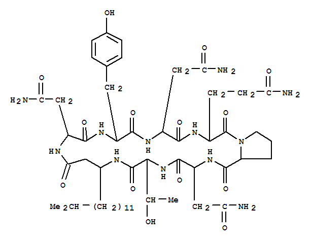
- Synonyms:Iturin A 1,1-(15-methyl-3-aminohexadecanoic acid)-8-L-threonine-;1H-Pyrrolo[2,1-i][1,4,7,10,13,16,19,22]octaazacyclopentacosine, cyclic peptidederiv.;Cyclo(15-methyl-3-aminohexadecanoyl-L-asparaginyl-D-tyrosyl-D-asparaginyl-L-glutaminyl-L-prolyl-D-asparaginyl-L-threonyl)
- Molecular Formula:C52H82 N12 O14
- Molecular Weight:
- CAS Registry Number:107814-43-7
- EINECS:
- Melting Point:
- Water Solubility:
 
	   Other Product
- 84434-62-8/8-amino-2,6-dimethyloct-6-en-2-ol
- 134221-20-8/(1Z,2Z)-bis{1-[3-nitro-4-(pentyloxy)phenyl]ethylidene}hydrazine
- 98402-16-5/5-methyl-1,3-bis(morpholin-4-ylmethyl)-5-[4-(pentyloxy)phenyl]imidazolidine-2,4-dione
- 765-54-8/6-oxabicyclo[3.1.0]hexan-2-ol
- 78960-31-3/3-(4-chlorophenyl)-1-ethyl-2-methyl-4-oxo-3,4-dihydroquinazolin-1-ium perchlorate
- 9037-44-9/EXONUCLEASE III
- 3124-24-1/dibutyl-lambda~2~-germane trihydrate
- 35367-33-0/N-[(4-tert-butylphenyl)carbamoyl]-2,6-difluorobenzamide
- 5408-47-9/diethyl N-[(prop-2-en-1-yloxy)carbonyl]glutamate
- 56039-58-8/4-((4,7,7-Trimethyl-3-oxo-bicyclo(2.2.2)hept-2-ylidene)methyl)benzenes ulfonic acid
- 72030-16-1/(2Z)-2-phenyl-3-(thiophen-2-yl)prop-2-enenitrile
- 91081-96-8/Stomach, pylorus, ext., deproteinated
- 23923-61-7/1-(2-phenylcyclohexyl)ethanone
- 27507-45-5/6,11-diethyl-3-methyl-1,2,3,4,5,6-hexahydro-2,6-methano-3-benzazocin-8-ol
- 146989-85-7/major outer membrane protein, Legionella pneumophila
- 63133-75-5/triisobutyl citrate
- 95603-54-6/7-(2-(4-hydroxyphenethylamino)cyclopentyl)heptanoic acid
- 62367-88-8/(2E)-2-(hydroxyimino)-1-(2-phenyl-1H-indol-3-yl)butane-1,3-dione
- 107814-43-7/Bacillomycin F5 (9CI)
- 99015-91-5/2-(dimethylamino)ethyl 2-methylprop-2-enoate - prop-2-enamide (1:1)
- 135292-59-0/5-aminoshikimate-3-phosphate
- 63568-12-7/D-Lysine,(2S)-2-amino-4-(methylsulfonyl)- butanoyl-L-R-glutamyl-L-histidyl-L-phenylalanyl-
- 99-16-1/ALLANTOIC ACID
- 82488-23-1/4-(propan-2-yl)benzyl (1R,3R)-2,2-dimethyl-3-(2-methylprop-1-en-1-yl)cyclopropanecarboxylate
- 97659-96-6/Glycerides, castor-oil mono-
- 78301-21-0/Conotoxin G IA (reduced)
- 79102-49-1/Staphyloimmunocide
- 14463-22-0/4-[(chloroacetyl)amino]-2-hydroxybenzoic acid
- 61508-28-9/1-(1-benzothiophen-2-yl)-3-(dimethylamino)propan-1-one ethanedioate
- 23671-20-7/Stigmast-4-ene-3,6-dione

 
               
       