Bacillomycin F2 (9CI)(107814-40-4)
- Name: Bacillomycin F2 (9CI)
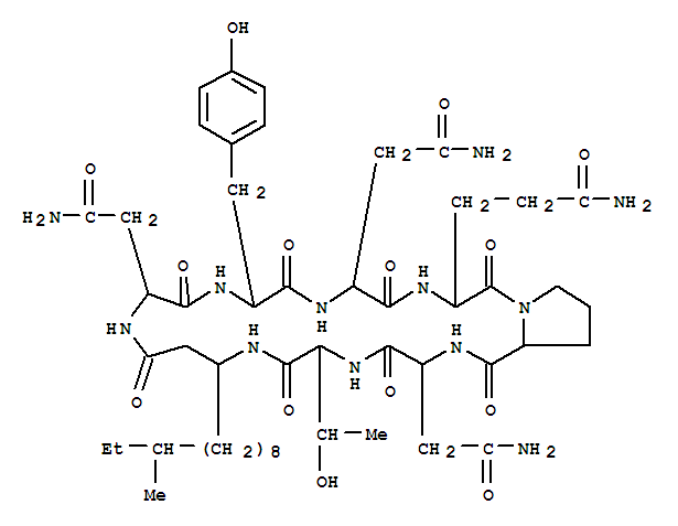
- Synonyms:Iturin A 1,1-(12-methyl-3-aminotetradecanoic acid)-8-L-threonine-;1H-Pyrrolo[2,1-i][1,4,7,10,13,16,19,22]octaazacyclopentacosine, cyclic peptidederiv.;Cyclo(12-methyl-3-aminotetradecanoyl-L-asparaginyl-D-tyrosyl-D-asparaginyl-L-glutaminyl-L-prolyl-D-asparaginyl-L-threonyl)
- Molecular Formula:C50H78 N12 O14
- Molecular Weight:
- CAS Registry Number:107814-40-4
- EINECS:
- Melting Point:
- Water Solubility:
Other Product
- 68987-75-7/1,3-Isobenzofurandione, polymer with 2,2-bis(hydroxymethyl)-1,3-propanediol, 1,2-ethanediol and ethenylbenzene, nonanoate
- 32406-65-8/(2E)-2-(anthracen-9-ylmethylidene)-N-(tricyclo[3.3.1.1~3,7~]dec-1-yl)hydrazinecarbothioamide
- 24980-62-9/Acetic acid ethenyl ester, polymer with 2-propenenitrile
- 141234-29-9/2-(2-methoxyphenyl)-1-methyl-5-oxo-1,2,3,5-tetrahydroimidazo[1,2-a]pyrimidine-6-carboxylic acid
- 22890-21-7/ISOSTEARIC ACID
- 58590-33-3/4-{[(4-chlorophenoxy)acetyl]amino}-2-hydroxybenzoic acid
- 221664-94-4/6H-Benzo[4,5]cyclodec[1,2-b]oxireno[c]furan-1(13aH)-one,7,8,10-tris(acetyloxy)-2a,5,7,7a,8,9,10,11,11a,12-decahydro-12-hydroxy-4,7a,11,13a-tetramethyl-,(2aS,3Z,7R,7aS,8S,10S,11R,11aS,12R,12aR,13aR)-
- 94247-89-9/methylenebis[4,1-phenyleneiminocarbonyloxy(methyl-2,1-ethanediyl)] diacrylate
- 73018-57-2/Poly(oxy-1,2-ethanediyl), .alpha.-hydro-.omega.-hydroxy-, ether with 2-[3-(C12-14-alkyloxy)-2-hydroxypropoxy]-1-propanol
- 79665-28-4/4-[(2,3-dichlorophenyl)azo]-3-hydroxy-N-(2-methylphenyl)naphthalene-2-carboxamide
- 54918-42-2/1-[8-(methylsulfinyl)-5-oxido-10,11-dihydrodibenzo[b,f]thiepin-10-yl]piperazine (2E)-but-2-enedioate
- 12144-85-3/Cobalt, tricarbonyl(h3-2-propenyl)-
- 98072-39-0/Distillates (petroleum), C10-20, ethylene manufg. residues, arom.
- 76206-39-8/N-(Acetyloxy)-6-methyldipyrido(1,2-alpha:3,2-d)imidazol-2-amine
- 53780-34-0/MEFLUIDIDE
- 61051-09-0/N,N-bis(2-hydroxypropyl)oxamide
- 107814-40-4/Bacillomycin F2 (9CI)
- 4152-76-5/2-(6-aminopurin-9-yl)-5-methyl-oxolane-3,4-diol
- 67786-15-6/sodium 3-[[3-[(3-amino-4-nitrophenyl)azo]-2,4-dihydroxyphenyl]azo]-4-methoxybenzenesulphonate
- 54571-22-1/N-methylsulfonylpyridine-2-carbohydrazide
- 6961-72-4/S-ethyl 2-(1,3-benzothiazol-2-yl)hydrazinecarbothioate
- 93882-05-4/2-(4,8-Dimethylnona-3,7-dienyl)-4-methyl-1,3-dioxolane
- 150975-80-7/[1,1'-Biphenyl]-2-ol,2',3,3',4,4'-pentachloro-
- 31431-93-3/Pegamine
- 91770-36-4/Nectandra elaiophora, ext.
- 94158-64-2/3,3,4,4,5,5,6,6,7,7,8,8,9,9,10,10,11,11,12,12,13,13,14,14,15,16,16,16-octacosafluoro-15-(trifluoromethyl)hexadecyl methacrylate
- 18137-09-2/3-(Ethylthio)-1,4,2-dithiazole 1,1-dioxide
- 35144-10-6/(3S,3aR,4S,6aR,8bS,8cS)-3,8a-dimethyl-6-methylidene-2-oxododecahydrooxireno[2,3]azuleno[4,5-b]furan-4-yl acetate
- 92629-50-0/Thiazolo(3,2-a)pyrimidin-4-ium, 2,3-dihydro-5,7-diamino-, bromide
- 88-49-3/4-CHLORO-2,5-DIMETHYLBENZENESULFONYL CHLORIDE
