BW 633C(101559-44-8)
- Name: BW 633C
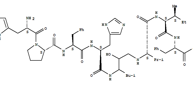
- Synonyms:L-Phenylalanine,N-[N-[N-[3-[[N-[N-(1-L-histidyl-L-prolyl)-L-phenylalanyl]-L-histidyl]amino]-2-hydroxy-5-methylhexyl]-L-valyl]-L-isoleucyl]-,methyl ester; BW 633C
- Molecular Formula:C54H78 N12 O9
- Molecular Weight:1039.27
- CAS Registry Number:101559-44-8
- EINECS:
- Melting Point:
- Water Solubility:
Other Product
- 163405-36-5/4-[2-(4-hydroxyphenyl)propan-2-yl]cyclohexa-3,5-diene-1,2-dione
- 114638-41-4/Takenate T 600 (9CI)
- 5718-98-9/benzoyl phenyl
- 66567-21-3/1,2,3-Tri-N-acetylsisomicin
- 2150-43-8/Methyl 3,4-dihydroxybenzoate
- 113400-63-8/azidobenzamido 008
- 128352-87-4/3,4-diphenyl-3,4,5,6,7,8-hexahydro[1]benzothieno[2,3-d]pyrimidine-2(1H)-thione
- 132922-57-7/Corynantheidinaline
- 128890-04-0/4-hydroxy-1-naphthylporphyrin
- 3391-83-1/11-Oxahexadecan-16-olide
- 6460-76-0/Glutamine,N2-benzoyl-N,N-dimethyl-, DL- (8CI)
- 554-76-7/neostibosan
- 66827-67-6/N-Ethyl-N-[3-(phenyloxy)propyl]acetamide
- 506-50-3/Triacontanoic acid
- 105442-63-5/1-ethenyltellanylbutane
- 26050-25-9/3-[(2E)-2-{4-[bis(2-chloroethyl)amino]-3-ethoxybenzylidene}hydrazinyl]-4H-1,2,4-triazol-4-amine
- 4608-36-0/2,3-dihydroxy-N,N-diphenyl-butanediamide
- 73837-59-9/1,3-Dioxo-α-(4-hydroxy-3-nitrophenylmethyl)-2-isoindolineacetic acid
- 101559-44-8/BW 633C
- 71013-45-1/4-{[5-(carboxymethyl)-4-(4-chlorophenyl)-1,3-thiazol-2-yl]amino}-4-oxobutanoic acid
- 6278-18-8/2-ethyl-4-methyl-3-[2-(4-methylphenyl)-2-oxoethyl]-1,3-thiazol-3-ium
- 3254-07-7/2,4-dinitrophenyl 2,3,4,6-tetra-O-acetyl-1-thiohexopyranoside
- 53072-49-4/1-(7-chloro-1-methyl-2-oxo-5-phenyl-2,3-dihydro-1H-1,4-benzodiazepin-3-yl)-3-methyl-1H-imidazol-3-ium chloride
- 371-27-7/2,2,2-TRIFLUOROETHYL BUTYRATE
- 156-59-2/CIS-1,2-DICHLOROETHYLENE
- 156250-56-5/Olean-12-en-28-oicacid, 3-[(4-O-b-D-glucopyranosyl-b-D-glucopyranosyl)oxy]-2,16,23-trihydroxy-,O-D-apio-b-D-furanosyl-(1®3)-O-[O-6-deoxy-a-L-mannopyranosyl-(1®3)-O-b-D-xylopyranosyl-(1®4)-6-deoxy-a-L-mannopyranosyl-(1®2)]-4-O-acetyl-6-deoxy-b-D-galactopyranosyl ester, (2b,3b,4a,16a)- (9CI)
- 71820-46-7/p-(1-octenyl)anisole
- 68390-33-0/Alkyl iodides, C10-12, gamma-omega-perfluoro
- 165561-14-8/2,5-Ethanoindeno[4,5-e]oxecin-3,11,15-trione,5,6,7,8,8a,10a,12,13,13a,13b-decahydro-7-hydroxy-12-methyl-,(1Z,5R,7R,8aS,10aS,12R,13aR,13bS)-
- 114969-32-3/3H-1,2-Dithiole-3-thione,4-methyl-5-(2-pyridinyl)-
