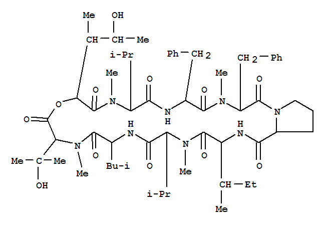
Aureobasidin S4(153954-75-7)
- Name: Aureobasidin S4
 - Synonyms:AureobasidinA, 1-[N-(2,4-dihydroxy-3-methyl-1-oxopentyl)-N-methyl-L-valine]-;1H,15H-Pyrrolo[1,2-m][1,4,7,10,13,16,19,22,25]oxaoctaazacycloheptacosine,cyclic peptide deriv.;Cyclo(L-alloisoleucyl-N-methyl-L-valyl-L-leucyl-3-hydroxy-N-methyl-L-valyl-2,4-dihydroxy-3-methylpentanoyl-N-methyl-L-valyl-L-phenylalanyl-N-methyl-L-phenylalanyl-L-prolyl);L-Valine, N-[N-[N-[N-[1-[N-[N-[N-(2,4-dihydroxy-3-methyl-1-oxopentyl)-N-methyl-L-valyl]-L-phenylalanyl]-N-methyl-L-phenylalanyl]-L-prolyl]-L-alloisoleucyl]-N-methyl-L-valyl]-L-leucyl]-3-hydroxy-N-methyl-,a1-lactone
 - Molecular Formula:C60H92 N8 O12
 - Molecular Weight:1117.42
 - CAS Registry Number:153954-75-7
 - EINECS:
 - Melting Point:
 - Water Solubility:
 
	   Other Product
- 20377-02-0/6-azidoquinoline
 - 67186-14-5/Poly(oxy-1,2-ethanediyl),a-[2-[[3-(trifluoromethyl)phenyl]amino]benzoyl]-w-[[2-[[3-(trifluoromethyl)phenyl]amino]benzoyl]oxy]-(9CI)
 - 616-31-9/pentane-3-thiol
 - 15433-03-1/2-(2,4,6-trimethylphenyl)-1H-indene-1,3(2H)-dione
 - 93783-35-8/1-(2-Aminoethyl)-2-henicosyl-4,5-dihydro-3-methyl-1H-imidazolium methyl sulphate
 - 7472-82-4/diethyl bromo(2-bromo-3-oxo-1,3-diphenylpropyl)propanedioate
 - 95370-95-9/Fatty acids, C14-22-conjugated unsatd., tetraesters with pentaerythritol
 - 36519-00-3/Phosdiphen
 - 4848-69-5/5-amino-1-phenyl-6-(prop-2-en-1-ylsulfanyl)-1,5-dihydro-4H-pyrazolo[3,4-d]pyrimidin-4-one
 - 51659-21-3/phenyl(3-phenylaziridin-2-yl)methanone
 - 133911-75-8/Benzene, polypropenederivs., sulfonated, potassium salts
 - 84712-93-6/N2-(tert-butoxycarbonyl)-N6-[(2-mesylethoxy)carbonyl]-L-lysine, compound with dicyclohexylamine (1:1)
 - 286462-32-6/4H-1-Benzopyran-4,7(8H)-dione,3-(3,4-dihydroxyphenyl)-5-hydroxy-6,8,8-tris(3-methyl-2-buten-1-yl)-
 - 85566-11-6/Nonanedioic acid, ester with 1,4-butanediol
 - 5611-28-9/N-(3,5-dimethylphenyl)-3,4-dimethoxy-N-{2-oxo-2-[(2E)-2-(thiophen-2-ylmethylidene)hydrazino]ethyl}benzenesulfonamide (non-preferred name)
 - 91031-22-0/Fatty acids, C14-18, compds. with ethanolamine
 - 94347-14-5/ethyl N-[bis(2-chloroethyl)carbamoyl]phenylalaninate
 - 6056-97-9/(2Z)-N-(3-bromophenyl)-2-cyano-3-(2-nitrophenyl)prop-2-enamide
 - 116384-24-8/Loureirin C
 - 153954-75-7/Aureobasidin S4
 - 5497-40-5/2-{[bis(4-methoxyphenyl)acetyl]oxy}-N,N-diethylpropan-1-aminium chloride
 - 4433-65-2/1,1-Ethanediamine(8CI,9CI)
 - 53954-63-5/Isoquinolinium,1-(4,5-dimethyl-2-oxazolyl)-3,4-dihydro-6,7-dimethoxy-2-methyl-, iodide (1:1)
 - 4412-39-9/1,1-Dichloro-2-phenylethane
 - 138336-10-4/2-{2-[4-bromo-1-methyl-2-(methylsulfanyl)-1H-imidazol-5-yl]prop-2-en-1-yl}-6-methylpyrazine
 - 97467-91-9/Phenol, 2,4-dinitro-, reaction products with 4-methyl-1,3-benzenediamine and sulfur
 - 103456-40-2/DIBROMODIBENZOFURAN
 - 195532-12-8/8-cyano-1-cyclopropyl-6-fluoro-7-[(4aS,7aS)-octahydro-6H-pyrrolo[3,4-b]pyridin-6-yl]-4-oxo-1,4-dihydroquinoline-3-carboxylic acid
 - 114448-88-3/(2Z)-3-[2-(benzyloxy)phenyl]-2-nitroprop-2-en-1-yl acetate
 - 85196-11-8/Decanoic acid, 2-((3-dibenzo(b,e)thiepin-11(6H)-ylidenepropyl)methylamino)ethyl ester, (E)-, ethanedioate (1:1)
 
