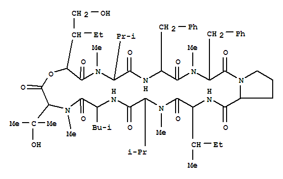
Aureobasidin S3(153954-74-6)
- Name: Aureobasidin S3
- Synonyms:AureobasidinA, 1-[N-[2-hydroxy-3-(hydroxymethyl)-1-oxopentyl]-N-methyl-L-valine]-;1H,15H-Pyrrolo[1,2-m][1,4,7,10,13,16,19,22,25]oxaoctaazacycloheptacosine,cyclic peptide deriv.;Cyclo[L-alloisoleucyl-N-methyl-L-valyl-L-leucyl-3-hydroxy-N-methyl-L-valyl-2-hydroxy-3-(hydroxymethyl)pentanoyl-N-methyl-L-valyl-L-phenylalanyl-N-methyl-L-phenylalanyl-L-prolyl];L-Valine, 3-hydroxy-N-[N-[N-[N-[1-[N-[N-[N-[2-hydroxy-3-(hydroxymethyl)-1-oxopentyl]-N-methyl-L-valyl]-L-phenylalanyl]-N-methyl-L-phenylalanyl]-L-prolyl]-L-alloisoleucyl]-N-methyl-L-valyl]-L-leucyl]-N-methyl-,a1-lactone
- Molecular Formula:C60H92 N8 O12
- Molecular Weight:1117.42
- CAS Registry Number:153954-74-6
- EINECS:
- Melting Point:
- Water Solubility:
Other Product
- 19800-66-9/8-hydrazinyl-1,3-dimethyl-7-(prop-2-en-1-yl)-3,7-dihydro-1H-purine-2,6-dione
- 21661-13-2/(9E,12E,15Z)-octadeca-9,12,15-trienoic acid
- 80787-29-7/N-Trifluoroacetyladriamycin-14-O-hemiadipate
- 515-25-3/BETONICINE
- 5400-93-1/1-benzyl-3,5,7-triaza-1-azoniatricyclo[3.3.1.13,7]decane chloride
- 1484-16-8/3-(ethylsulfanyl)-1H-indole
- 501-36-0/Resveratrol
- 90045-56-0/Helichrysum angustifolium, ext.
- 4338-38-9/1-(3-amino-3-deoxyhexopyranosyl)pyrimidine-2,4(1H,3H)-dione
- 105049-16-9/Spiro[10,12:19,22a-dimethano-4H,5H,22aH-oxireno[8,9][1,6,12]trioxacyclooctadecino[3,4-d][1]benzopyran-11(10H),2'-oxirane]-2,14(1aH,17H)-dione,19-acetyl-6,8a,11a,12,18,19,21,22-octahydro-23-hydroxy-7,11a-dimethyl-,(1aS,4aR,8aR,10R,11S,11aS,12R,15Z,19S,22aR,23R)- (9CI)
- 41372-08-1/alpha-Methyldopa sesquihydrate
- 68442-03-5/Isocyanic acid, polymethylenepolyphenylene ester, polymers with hydroxy-terminated polybutadiene
- 62538-82-3/6-chloro-3-methyl-9H-dibenzo[b,f]imidazo[1,2-d][1,4]diazepine hydrochloride
- 37288-77-0/E.C. 3.4.21.16
- 20091-90-1/methyl (2E)-2-[(2E)-2-methyl-3-(5-nitrofuran-2-yl)prop-2-en-1-ylidene]hydrazinecarbodithioate
- 31482-07-2/2,2',2'',2'''-[(6-chloro-1,3,5-triazine-2,4-diyl)dinitrilo]tetrakisethanol
- 61929-85-9/8H-Benzo[2,3]benzofuro[5,4,3-def]quinolin-8- one,1,2,3,6a,7,9,10,11,12,12a-decahydro-5,6adimethoxy- 1-methyl-
- 33960-30-4/Poly aug
- 72000-67-0/3-Bromo-1-phenyl-1H-pyrrole-2,5-dione
- 153954-74-6/Aureobasidin S3
- 78-27-3/1-Ethynyl-1-cyclohexanol
- 926-52-3/Thiosulfuric acid S-[2-[(1,1-dimethylethyl)amino]ethyl] ester
- 70265-60-0/2-{2-[2-(2-methoxyphenoxy)ethoxy]ethoxy}-N-phenylacetamide
- 39455-35-1/Aluminum chloride phosphate
- 10021-77-9/3-(2-methoxyethoxy)prop-1-ene
- 7554-84-9/2-(naphthalen-2-ylcarbamoyl)benzoic acid
- 86870-08-8/3-methyl-6,7-dipyridin-2-yl[1,2,4]triazolo[4,3-b][1,2,4]triazine
- 55772-47-9/1,3-Benzenediamine, 4,4-((4-methyl-1,3-phenylene)bis(azo))bis(6-methyl-, acetate
- 4471-00-5/Acetic acid,germyl-
- 76979-61-8/N-[(2-methylphenyl)carbamoyl]-N~2~-[(6-nitro-4-oxoquinazolin-3(4H)-yl)methyl]glycinamide
