Aureobasidin S1(153954-71-3)
- Name: Aureobasidin S1
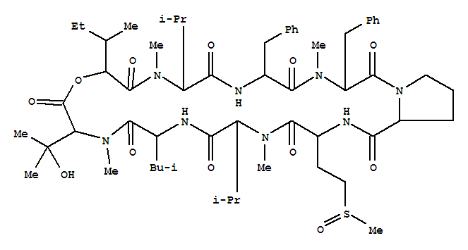
- Synonyms:AureobasidinA, 5-[4-(methylsulfinyl)-L-2-aminobutanoic acid]-;1H,15H-Pyrrolo[1,2-m][1,4,7,10,13,16,19,22,25]oxaoctaazacycloheptacosine,cyclic peptide deriv.;Cyclo[(2S)-2-amino-4-(methylsulfinyl)butanoyl-N-methyl-L-valyl-L-leucyl-3-hydroxy-N-methyl-L-valyl-(2R,3R)-2-hydroxy-3-methylpentanoyl-N-methyl-L-valyl-L-phenylalanyl-N-methyl-L-phenylalanyl-L-prolyl];L-Valine, N-(2-hydroxy-3-methyl-1-oxopentyl)-N-methyl-L-valyl-L-phenylalanyl-N-methyl-L-phenylalanyl-L-prolyl-4-(methylsulfinyl)-L-2-aminobutanoyl-N-methyl-L-valyl-L-leucyl-3-hydroxy-N-methyl-,a1-lactone, [R-(R*,R*)]-
- Molecular Formula:C59H90 N8 O12 S
- Molecular Weight:1135.46
- CAS Registry Number:153954-71-3
- EINECS:
- Melting Point:
- Water Solubility:
Other Product
- 541-02-6/Decamethylcyclopentasiloxane
- 147700-40-1/1,3-diethyl-7-methyl-8-[(E)-2-(3,4,5-trimethoxyphenyl)ethenyl]-3,7-dihydro-1H-purine-2,6-dione
- 67989-50-8/Soybean oil, polymer with p-tert-butylphenol, formaldehyde, glycerol, phthalic anhydride and tung oil
- 7153-08-4/3,5-Diiodo-4-hydroxypyridine
- 83898-15-1/methyl 4-phenylpiperidine-4-carboxylate hydrochloride
- 88556-41-6/4-[(1E)-N-(4-bromophenyl)ethanimidoyl]-5-phenylfuran-2,3-dione
- 7482-91-9/2-PYRIDIN-3-YL-QUINOLINE-4-CARBOXYLIC ACID
- 10202-94-5/3-methoxy-2,6-dinitrobenzaldehyde
- 25067-01-0/2-Propenoic acid, butyl ester, polymer with ethenyl acetate
- 2846-11-9/BenzoBrilliantGeraninB
- 16194-32-4/2-Furanmethanol,tetrahydro-a,a,5-trimethyl-, (2R,5S)-rel-
- 38920-50-2/2-((4-(2,4-Diisopropylphenoxy)butyl)amino)ethanethiol, hydrogen sulfat e (ester)
- 81948-65-4/bis(adeninato-N(9))-diphenyltin IV
- 58050-45-6/N-[Bis(2-chloroethyl)aminomethyl]carbamic acid isobutyl ester
- 41459-53-4/1-{[(diethoxyphosphoryl)sulfanyl]methyl}-5-methyloctahydro-2H-quinolizinium
- 84110-43-0/bis(2-hydroxyethyl)ammonium 2,2,4-trimethylvalerate
- 82586-52-5/MOEXIPRIL HYDROCHLORIDE
- 28099-10-7/2-(carbamoyloxy)-N,N,N-trimethylethanaminium bromide
- 153954-71-3/Aureobasidin S1
- 17804-49-8/PROCION RED MX-5B
- 53744-42-6/BUFFER SOLUTION
- 6520-57-6/N-(Indan-1-yl)-2-morpholinopropionamide
- 39135-39-2/1-AMINO-2,6-DIMETHYLPIPERIDINE
- 68140-52-3/1,1'-[(3,7-dimethyl-6-octenylidene)bis(oxyethylene)]bisbenzene
- 53219-90-2/pentane-1,5-diyl bis(3-bromopropionate)
- 7421-50-3/Dithiophosphoric acid O-ethyl O-methyl S-(2-ethylthioethyl) ester
- 3820-06-2/9-fluorodeoxycorticosterone
- 92674-96-9/Bisphenol A, epichlorohydrin, ethyl acrylate, methacrylic acid, styrene polymer
- 1908-23-2/6-chloro-2-ethyl-5H-purine
- 71013-81-5/N-[(1Z)-(2,6-dimethylphenyl)methylidene]-N-phenylamine oxide
