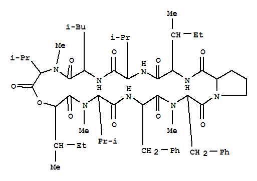
Aureobasidin P (9CI)(127785-73-3)
- Name: Aureobasidin P (9CI)
- Synonyms:AureobasidinA, 6-L-valine-8-(N-methyl-L-valine)-;1H,15H-Pyrrolo[1,2-m][1,4,7,10,13,16,19,22,25]oxaoctaazacycloheptacosine,cyclic peptide deriv.; Antibiotic R 106XIV;Cyclo[L-alloisoleucyl-L-valyl-L-leucyl-N-methyl-L-valyl-(2R,3R)-2-hydroxy-3-methylpentanoyl-N-methyl-L-valyl-L-phenylalanyl-N-methyl-L-phenylalanyl-L-prolyl];L-Valine, N-[N-[N-[N-[1-[N-[N-[N-(2-hydroxy-3-methyl-1-oxopentyl)-N-methyl-L-valyl]-L-phenylalanyl]-N-methyl-L-phenylalanyl]-L-prolyl]-L-alloisoleucyl]-L-valyl]-L-leucyl]-N-methyl-,a1-lactone, [R-(R*,R*)]-
- Molecular Formula:C59H90 N8 O10
- Molecular Weight:
- CAS Registry Number:127785-73-3
- EINECS:
- Melting Point:
- Water Solubility:
Other Product
- 99903-40-9/1,1-dichloro-5,5,5-trifluoro-4-(trifluoromethyl)penta-1,3-diene
- 52995-55-8/Thymidine, 5-(4-cyano-1H-1,2,3-triazol-1-yl)-5-deoxy-
- 6319-87-5/2-methyl-3-phenylquinoline-4-carboxylate
- 96066-83-0/Pregn-4-ene-3,20-dione,11,17-dihydroxy-21- (methylsulfinyl)-,(11â)-
- 7066-67-3/2-[2-(4-chlorophenyl)ethenyl]-5-[(3-phenoxyphenyl)methylidene][1,3]thiazolo[3,2-b][1,2,4]triazol-6(5H)-one
- 21131-15-7/3-(dimethylamino)propyl 4-oxo-3-phenyl-3,4-dihydrophthalazine-1-carboxylate hydrochloride (1:1)
- 28293-24-5/2,5-bis(hexylamino)-3,6-dimethylcyclohexa-2,5-diene-1,4-dione
- 1536-23-8/2,3,4,5,6-PENTAFLUOROBENZOPHENONE
- 100668-05-1/Ergosta-2,24-dien-26-oicacid, 5,6-epoxy-4,14,17,20,22,28-hexahydroxy-1-oxo-, d-lactone, (4b,5b,6b,17a,22R)- (9CI)
- 70045-26-0/4-{2-[(2-phenylethyl)(propyl)amino]ethyl}phenol hydrochloride
- 18002-29-4/4-(hydroxyamino)-1-(tetrahydrofuran-2-yl)pyrimidin-2(1H)-one
- 10083-98-4/4-{[3-(2-amino-4-oxo-1,4-dihydropteridin-6-yl)propyl]amino}benzoic acid
- 14825-72-0/N,N-diallylcyclohexylamine hydrochloride
- 43155-70-0/G 1030
- 69353-35-1/7-Chloro-2-(N-methoxymethyl-N-methylamino)-5-phenyl-3H-1,4-benzodiazepine 4-oxide
- 105742-86-7/9H-Xanthen-9-one,2-(1,1-dimethyl-2-propen-1-yl)-1,3,5,6-tetrahydroxy-4,8-bis(3-methyl-2-buten-1-yl)-
- 2683-78-5/2,3,12,13-tetrahydroporphyrin
- 127785-73-3/Aureobasidin P (9CI)
- 7369-44-0/N-hydroxy-N,3-diphenylacrylamide
- 13475-81-5/2,2,3,3-tetramethylhexane
- 74082-16-9/Chromate(2-), (3-(hydroxy-kappaO)-4-((2-(hydroxy-kappaO)-1-naphthalenyl)azo-kappaN1)-7-nitro-1-naphthalenesulfonato(3-))(N-(7-(hydroxy-kappaO)-8-((2-(hydroxy-kappaO)-4-nitrophenyl)azo-kappaN1)-1-naphthalenyl)acetamidato(2-))-, disodium
- 27448-07-3/1-(10,11-dihydro-5H-dibenzo[a,d][7]annulen-5-ylidene)-3-(methylamino)propan-2-one hydrochloride (1:1)
- 887-08-1/(1R)-1β-Isopropyl-3aβ,6-dimethyl-6β,8aβ-epoxydecahydroazulene-5α-ol
- 37064-31-6/Prodelphinidin T4
- 87415-50-7/N-{2-[(4-chlorophenyl)amino]-2-oxoethyl}-2-hydroxy-N,N-dimethyl-3-(naphthalen-1-yloxy)propan-1-aminium chloride
- 94888-13-8/2,3,6-trichloro-4-(2,3,4,6-tetrachlorophenoxy)phenol
- 126070-08-4/2-(2,3-dimethylphenyl)isoquinoline-1,3(2H,4H)-dione
- 70004-76-1/N-[(2R)-2-amino-2-carboxyethyl]-L-aspartic acid
- 53820-85-2/1H-inden-3-yl 4-nitrobenzoate
- 57081-28-4/[4-(4-chlorobenzyl)phenoxy]acetic acid
