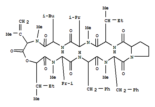
Aureobasidin N (9CI)(127785-74-4)
- Name: Aureobasidin N (9CI)
- Synonyms:AureobasidinA, 8-(3,4-didehydro-N-methyl-L-valine)-;1H,15H-Pyrrolo[1,2-m][1,4,7,10,13,16,19,22,25]oxaoctaazacycloheptacosine,cyclic peptide deriv.; Antibiotic R 106XII;Cyclo[L-alloisoleucyl-N-methyl-L-valyl-L-leucyl-3,4-didehydro-N-methyl-L-valyl-(2R,3R)-2-hydroxy-3-methylpentanoyl-N-methyl-L-valyl-L-phenylalanyl-N-methyl-L-phenylalanyl-L-prolyl];L-Valine, 3,4-didehydro-N-[N-[N-[N-[1-[N-[N-[N-(2-hydroxy-3-methyl-1-oxopentyl)-N-methyl-L-valyl]-L-phenylalanyl]-N-methyl-L-phenylalanyl]-L-prolyl]-L-alloisoleucyl]-N-methyl-L-valyl]-L-leucyl]-N-methyl-,a1-lactone, [R-(R*,R*)]-
- Molecular Formula:C60H90 N8 O10
- Molecular Weight:
- CAS Registry Number:127785-74-4
- EINECS:
- Melting Point:
- Water Solubility:
Other Product
- 826-41-5/2,2-diethoxy-1-methylpyrrolidine
- 78851-95-3/3-[(E)-(hydroxyimino)methyl]-1-({[3-(3-methylbutanoyl)pyridinium-1-yl]methoxy}methyl)pyridinium diiodide
- 38338-94-2/1-(4-amino-3-bromo-5-chlorophenyl)-2-(ethylamino)ethanol
- 18530-33-1/exo-bicyclo[2.2.1]hept-2-yl isothiocyanate
- 93334-07-7/Fatty acids, peanut-oil, lauryl esters
- 70247-73-3/chromium(+3) cation; 4-(3-methyl-5-oxido-1-phenyl-pyrazol-4-yl)diazenyl-3-oxido-naphthalene-1-sulfonate
- 74114-54-8/1-[4-(4-bromophenyl)-1,3-thiazol-2-yl]-3-(4-chlorophenyl)-1H-pyrazol-5-amine
- 6158-73-2/TRIPHENYLSELENONIUMCHLORIDE
- 100538-93-0/N-Isopentil-3-isogranatanina bromidrato [Italian]
- 17135-49-8/4'-fluoro-4-(4-fluorophenyl)butyrophenone
- 63990-59-0/Bis[2-methoxyethylmercurio(II)]acetylene
- 41634-08-6/2-[(4-chlorophenyl)carbonyl]-6-morpholin-4-ylcyclohexanone hydrochloride
- 145937-22-0/gingerglycolipid A
- 25844-55-7/N,N,6,6-tetramethyl-5-phenyl-5,6-dihydrofuro[2,3-d]pyrimidin-4-amine
- 20111-60-8/3-oxoandrost-4-en-17-yl 4-{4-[bis(2-chloroethyl)amino]phenyl}butanoate
- 3626-69-5/1-(1-oxobut-2-enyl)piperidine
- 940-73-8/1-[(2,2,2-~2~H_3_)ethyl]-4-methylbenzene
- 107694-06-4/Naphth[2,3-c]oxepin-1(5H)-one,9-(1,1-dimethyl-2-propen-1-yl)-10,11-dihydroxy-4-methyl-
- 13463-71-3/3-hydroxy-2,2-dimethylpropyl methacrylate
- 127785-74-4/Aureobasidin N (9CI)
- 70628-94-3/3-deoxy-2,4-dithiopentaric acid
- 132536-74-4/Biennin C
- 60324-95-0/trans-Methylenedi(1,4-cyclohexylene)bis(3-(2-chloroethyl)-3-nitrosourea)
- 7499-09-4/oct-6-ynoic acid
- 34493-89-5/3,3,4,4-tetramethyl-1-oxo-1,2-diazetidin-1-ium-2-olate
- 31191-46-5/2-(3-bromopropoxy)-1-chloro-4-nitrobenzene
- 110075-07-5/capozide
- 113849-21-1/4-(2-methyl-4-oxoquinazolin-3(4H)-yl)-N-[(4-methylphenyl)carbamoyl]benzenesulfonamide
- 143572-55-8/1,6-Dimethyl-3-(4-methylbenzoyl)-4-phenyl-2(1H)-pyridinone
- 87245-49-6/8-bromo-6-(2-chlorophenyl)-1-[(methylsulfanyl)methyl]-4H-[1,2,4]triazolo[4,3-a][1,4]benzodiazepine
