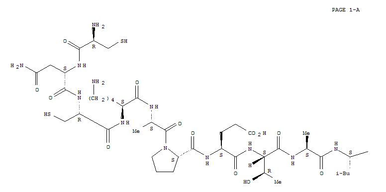
Apamin (reduced)(8CI,9CI)(28047-76-9)
- Name: Apamin (reduced)(8CI,9CI)
- Synonyms:L-Histidinamide,L-cysteinyl-L-asparaginyl-L-cysteinyl-L-lysyl-L-alanyl-L-prolyl-L-a-glutamyl-L-threonyl-L-alanyl-L-leucyl-L-cysteinyl-L-alanyl-L-arginyl-L-arginyl-L-cysteinyl-L-glutaminyl-L-glutaminyl-
- Molecular Formula:C79H135 N31 O24 S4
- Molecular Weight:
- CAS Registry Number:28047-76-9
- EINECS:
- Melting Point:
- Water Solubility:
Other Product
- 5022-26-4/N-benzyl-2,2-diphenylacetamide
- 25167-31-1/2-Chloroaziridine
- 80535-24-6/ethyl 4-oxo-4-phenyl-2-[(4-phenyl-2,4-dihydro-3H-1,2,4-triazol-3-ylidene)methyl]but-2-enoate
- 10034-94-3/dimagnesium silicate
- 65838-75-7/N-(1-Methylethyl)-2-(phenylsulfinyl)benzamide
- 101859-11-4/(2S,3R,4aS,8aR)-2-[(2E)-non-2-en-1-yl]octahydro-2H-chromen-3-yl acetate
- 89845-24-9/2-bromo-1-(naphthalen-1-yl)propan-1-one
- 10182-52-2/9-(morpholin-4-ylmethyl)-3,9-dihydro-6H-purine-6-thione
- 17409-41-5/Glycolamide, N,N-bis(2-hydroxyethyl)-
- 1608-11-3/(1Z,3Z)-1,2,3,4-Tetraphenyl-1,3-butadiene
- 6310-81-2/3-isocyanato-9H-carbazole
- 14547-02-5/trihydrido(1,3,5,7-tetraazatricyclo[3.3.1.1~3,7~]decane-kappaN~1~)boron
- 20525-62-6/DIBUTYLDIETHYLTIN
- 125328-54-3/Fatty acids, C16-18, monoesters with polyethylene glycol ether with glycerol (3:1)
- 71130-44-4/Hexanedioic acid, polymer with alpha-(2-aminomethylethyl)-omega-(2-aminomethylethoxy)poly(oxy(methyl-1,2-ethanediyl)), 1,4-butanediol, 1,3-diisocyanatomethylbenzene and 1,6-hexanediol
- 135115-34-3/Tracheal antimicrobial peptide
- 2156-87-8/N-[4-[[(2-oxonaphthalen-1-ylidene)methylamino]sulfamoyl]phenyl]acetami de
- 27312-18-1/4,8-diamino-2-bromo-1,5-dihydroxyanthraquinone
- 64346-57-2/2,5-xylyl 3,4-xylyl disulphide
- 28047-76-9/Apamin (reduced)(8CI,9CI)
- 97111-08-5/N-(4-(2-(Dimethylamino)-1-oxopropyl)phenyl)acetamide monohydrochloride
- 73043-31-9/3-{(4E)-4-[(3-hydroxy-4-methoxyphenyl)methylidene]-2-methyl-5-oxo-4,5-dihydro-1H-imidazol-1-yl}propanoic acid
- 143683-28-7/Borate(1-),bis[3,5-bis(1,1-dimethylethyl)-2-(hydroxy-kO)benzoato(2-)-kO]-, potassium, (T-4)- (9CI)
- 76274-22-1/3,5-bis(pyridin-4-ylmethyl)pyridine-2,6-diamine
- 50871-45-9/2-[4-(1-methylethyl)piperazin-1-yl]-5-(4-methylphenyl)-1,3-thiazol-4(5H)-one
- 53665-01-3/6-(aziridin-1-yl)-9-pentofuranosyl-9H-purine
- 73231-74-0/2-{[3-(acetyloxy)butanoyl]oxy}-N,N,N-trimethylethanaminium iodide
- 161068-68-4/Murranimbine
- 73138-36-0/Castor oil, polymer with benzoic acid, isophthalic acid, pentaerythritol, phthalic anhydride, 3a,4,7,7a-tetrahydro-1,3-isobenzofurandione, triethylamine and trimethylolhexane
- 7194-37-8/N,N-bis[4-(N-methyl-N-propan-2-yl-carbamimidoyl)phenyl]benzene-1,4-dicarboxamide
