Allatostatin 2(Periplaneta americana) (9CI)(154037-72-6)
- Name: Allatostatin 2(Periplaneta americana) (9CI)
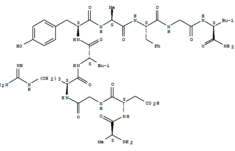
- Synonyms:AllatostatinA 3 (Diploptera punctata), 1-(N-L-alanyl-L-asparticacid)-3-L-arginine-6-L-alanine-; 2: PN: WO03014150 TABLE: 2 claimed sequence;L-Leucinamide, L-alanyl-L-a-aspartylglycyl-L-arginyl-L-leucyl-L-tyrosyl-L-alanyl-L-phenylalanylglycyl-;Pea-AST 9; Pea-allatostatin 9 (Periplaneta americana); Peram-AST 9
- Molecular Formula:C50H76 N14 O13
- Molecular Weight:
- CAS Registry Number:154037-72-6
- EINECS:
- Melting Point:
- Water Solubility:
Other Product
- 5453-26-9/9-(tetrahydrofuran-2-yl)nonane-1,4,7-triyl tripropanoate
- 6301-28-6/N~4~-(2-chlorophenyl)-6-methylpyrimidine-2,4-diamine
- 73588-61-1/Phosphoric acid,esters,2,2-dichloroethenyl dimethyl ester,mixt. with O,O-diethyl O-(5-phenyl-3-isoxazolyl) phosphorothioate
- 29445-45-2/1H-[1,2,4]Triazolo[1,2-a]cinnoline-1,3(2H)-dione
- 131132-70-2/Fatty acids, C18-unsatd, dimers, polymers with diethylene glycol, isophthalic acid and maleic anhydride
- 37314-23-1/Oxirane, 2,3-bis(chloromethyl)-, cis-, polymer with trans-2,3-bis(chloromethyl)oxirane
- 37692-84-5/Ro 1-7781
- 66521-49-1/4-[(1E)-3-methyl-3-octyltriaz-1-en-1-yl]benzamide
- 4892-31-3/5-tert-butyl-m-cresol
- 14056-67-8/2-[2-(piperidin-1-yl)ethoxy]ethyl 10H-pyrido[3,2-b][1,4]benzothiazine-10-carboxylate hydrochloride
- 69116-73-0/2,2,3,3-Tetrafluoro-3-[1,2,2-trifluoro-2-[1,2,2,2-tetrafluoro-1-(fluoroformyl)ethoxy]-1-(trifluoromethyl)ethoxy]propionic acid methyl ester
- 3019-22-5/Cyclobutane,(1-methylethenyl)-
- 67939-37-1/2-Propenoic acid, polymer with octadecyl 2-propenoate and 2-(ethyl((pentadecafluoroheptyl)sulfonyl)amino)ethyl 2-methyl-2-propenoate
- 69844-09-3/2-[3-(1,3-dioxo-1,3,3a,4,7,7a-hexahydro-2H-4,7-methanoisoindol-2-yl)phenoxy]-N,N,N-triethylethanaminium iodide
- 92126-37-9/(2-phenyl-1,3-oxazole-4,5-diyl)dimethanediyl bis(methylcarbamate)
- 180059-78-3/Voalenine
- 123089-18-9/16aH,17H-2,16:16,30-Dimethano-1H-azacyclotridecino[1'',2'':1',2']pyrido[3',4':2,3]pyrrolo[1,2-a]azacyclopentadecin-30-ium,2,2a,3,4,6,7,8,9,10,11,12,13,14,15,18,23,26,27,28,29-eicosahydro-17,18,31-trihydroxy-,(2S,2aR,16R,16aS,16bS,17S,18R,19E,21Z,24Z,30S,31S)-
- 50791-52-1/Tetrastannetane
- 5695-45-4/2,6,10-Trisiladodecane
- 154037-72-6/Allatostatin 2(Periplaneta americana) (9CI)
- 93101-77-0/Cyclopentaneglycolic acid, alpha-isopropenyl-, (1-azabicyclo(2.2.2)oct-2-en-3-yl)methyl ester
- 75787-40-5/7-chloro-3-dimethylamino-2,4-dioxo-1H-quinazoline-6-sulfonamide
- 28519-32-6/4-Methylbenzenesulfonothioic acid S-hexyl ester
- 71539-78-1/(4aR)-4aα,5,6,7,8,8a-Hexahydro-5α,6α-dihydroxy-3-(1-hydroxy-1-methylethyl)-5,8aβ-dimethylnaphthalene-2(1H)-one
- 77108-01-1/physalitoxin
- 71411-63-7/N-bromo-2,6-dichlorobenzamide
- 56879-39-1/N,N,2-trimethyl-3-(5,6,7,12-tetrahydrodibenzo[a,d][8]annulen-5-yl)propan-1-amine hydrochloride
- 514-17-0/5-A-ANDROSTANE-3-B-11-B-DIOL-17-ONECRYST ALLINE
- 91789-73-0/N-[6-amino-2-(methylsulfanyl)-4-oxo-1,4-dihydropyrimidin-5-yl]-2-nitrobenzenesulfonamide
- 20230-22-2/5,6α-Epoxy-5α-cholestane
