Current position:Home >Product >
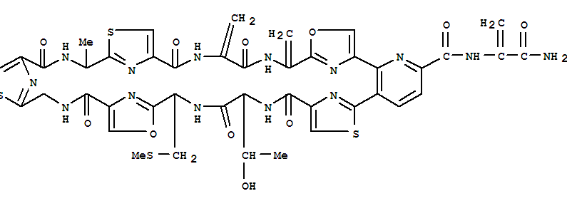
Alaninamide,threonyl-2-[1-amino-2-(methylthio)ethyl]-4-oxazolecarbonyl-2-(aminomethyl)-4-thiazolecarbonyl-2-(1-aminoethyl)-4-thiazolecarbonyl-2,3-didehydroalanyl-6-[2-(1-aminoethenyl)-4-oxazolyl]-5-(4-carboxy-2-thiazolyl)-2-pyridinecarbonyl-2,3-didehydro-,(6®1)-lactam (9CI)
Alaninamide,threonyl-2-[1-amino-2-(methylthio)ethyl]-4-oxazolecarbonyl-2-(aminomethyl)-4-thiazolecarbonyl-2-(1-aminoethyl)-4-thiazolecarbonyl-2,3-didehydroalanyl-6-[2-(1-aminoethenyl)-4-oxazolyl]-5-(4-carboxy-2-thiazolyl)-2-pyridinecarbonyl-2,3-didehydro-,(6®1)-lactam (9CI)(161505-22-2)
- Name: Alaninamide,threonyl-2-[1-amino-2-(methylthio)ethyl]-4-oxazolecarbonyl-2-(aminomethyl)-4-thiazolecarbonyl-2-(1-aminoethyl)-4-thiazolecarbonyl-2,3-didehydroalanyl-6-[2-(1-aminoethenyl)-4-oxazolyl]-5-(4-carboxy-2-thiazolyl)-2-pyridinecarbonyl-2,3-didehydro-,(6®1)-lactam (9CI)
- Synonyms:SulfomycinI,52-de[1-[[[1-(aminocarbonyl)ethenyl]amino]carbonyl]ethenyl]-28-deethylidene-14-de(3-hydroxypropylidene)-21-demethoxy-17,31-didemethyl-28-methyl-14-[(methylthio)methyl]-30-thia-;Thioactin
- Molecular Formula:C43H40 N14 O11 S4
- Molecular Weight:1057.12
- CAS Registry Number:161505-22-2
- EINECS:
- Melting Point:
- Water Solubility:
Other Product
- 231-21-0/Pyrido[2,3-f]quinoxaline(6CI,8CI,9CI)
- 151756-67-1/1,5,9,13-Tetraazacyclooctadecan-6-one,1,13-bis[(2S)-2-methyl-1-oxobutyl]-8-(2Z)-2-undecen-1-yl-, (8S)-
- 6049-55-4/beta-phenylisoserine
- 41287-98-3/5-chloro-2-{[7-(1,3-thiazolidin-3-yl)heptyl]oxy}pyridine hydrochloride (1:1)
- 6586-18-1/3-methoxy-N-{[3-(trifluoromethyl)phenyl]carbamothioyl}naphthalene-2-carboxamide
- 99957-09-2/2(3H)-Naphthalenone,4,4a,5,6,7,8-hexahydro- 3-hydroxy-7-(1-hydroxy-1-methylethyl)-1,- 4a-dimethyl-,(3R,4aS,7R)-
- 68513-13-3/Dubbs fuel gas
- 64046-78-2/9-Amino-2-acridinecarboxylic acid methyl ester
- 27922-31-2/α-(p-Fluorophenyl)-1-piperidine-1-propanol
- 6967-15-3/2-amino-7-fluoro-9H-fluoren-9-ol
- 89194-77-4/bisaramil
- 112132-06-6/(2E,13Z)-octadeca-2,13-dien-1-yl acetate - (3Z,13Z)-octadeca-3,13-dien-1-yl acetate (1:1)
- 68953-36-6/Fatty acids, tall-oil, reaction products with tetraethylenepentamine
- 28289-95-4/3-butylpyrimidine-2,4(1H,3H)-dione
- 161505-22-2/Alaninamide,threonyl-2-[1-amino-2-(methylthio)ethyl]-4-oxazolecarbonyl-2-(aminomethyl)-4-thiazolecarbonyl-2-(1-aminoethyl)-4-thiazolecarbonyl-2,3-didehydroalanyl-6-[2-(1-aminoethenyl)-4-oxazolyl]-5-(4-carboxy-2-thiazolyl)-2-pyridinecarbonyl-2,3-didehydro-,(6®1)-lactam (9CI)
- 134934-85-3/9-[3-(butan-2-ylamino)-3-deoxy-beta-D-arabinofuranosyl]-9H-purin-6-amine
- 521-38-0/4-Propyl-5,7-dihydroxy-6-(3-methyl-2-butenyl)-8-(3-methylbutyryl)-2H-1-benzopyran-2-one
- 40172-65-4/2-AMINO-BETA-NAPHTHOTHIAZOLE
- 36047-96-8/3-[(5-ethyl-5H-[1,2,4]triazino[5,6-b]indol-3-yl)amino]propan-1-ol
- 148077-14-9/chloramlincomycin
- 173792-65-9/Kudinoside I
- 61360-94-9/(1S)-1,5-anhydro-1-[5,7-dihydroxy-2-(4-hydroxyphenyl)-4-oxo-4H-chromen-8-yl]-2-O-beta-D-glucopyranosyl-D-glucitol
- 4448-89-9/1,4-Methanoanthracen-11-one
- 85029-88-5/Sulphamic acid, compound with 2-benzo(f)quinolin-3-yl-3-hydroxy-1H-inden-1-one, mono((4-methyl-1H-imidazolyl)methyl) derivative (1:1)
- 64309-07-5/N-(4-azido-2-nitrophenyl)-1,2-diaminoethane
- 156250-57-6/b-D-Glucopyranosiduronic acid, (3b,4a,16a,22a)-16,28-dihydroxy-22-[[(2Z)-2-methyl-1-oxo-2-butenyl]oxy]-23-oxoolean-12-en-3-ylO-b-D-galactopyranosyl-(1®2)-O-[O-b-D-glucopyranosyl-(1®2)-a-L-arabinopyranosyl-(1®3)]- (9CI)
- 68917-00-0/Oils, pine, polymd.
- 79307-46-3/Rotundiol
- 155070-23-8/Pyrrolo[1,2-a]pyrimidinium,7-[[2-[(aminoiminomethyl)amino]ethyl]thio]-1-[5-[(aminoiminomethyl)amino]pentyl]-6-(11-dodecenyl)-2,3,4,6,7,8-hexahydro-6-hydroxy-,chloride, dihydrochloride (9CI)
- 3690-05-9/p-Coumaryl alcohol
