Current position:Home >Product >
Alaninamide,L-threonyl-2-(1-amino-1-butenyl)-5-methyl-4-oxazolecarbonyl-2-(aminomethoxymethyl)-4-thiazolecarbonyl-2-(1-amino-1-propenyl)-5-methyl-4-oxazolecarbonyl-2,3-didehydroalanyl-6-[2-(1-aminoethenyl)-4-oxazolyl]-5-(4-carboxy-2-thiazolyl)-2-pyridinecarbonyl-2,3-didehydroalanyl-2,3-didehydroalanyl-2,3-didehydro-,(6®1)-lactam (9CI)
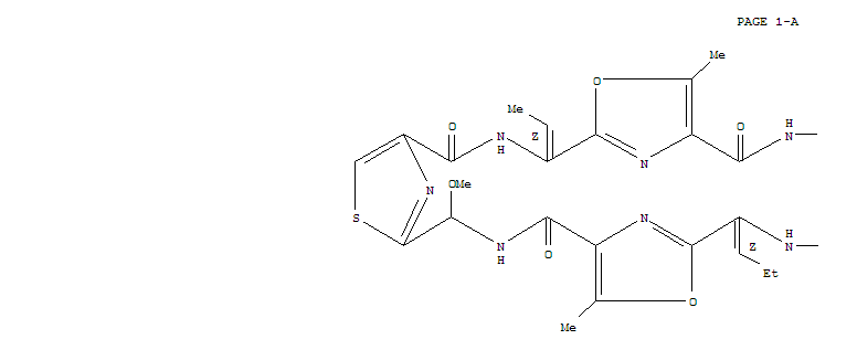
Alaninamide,L-threonyl-2-(1-amino-1-butenyl)-5-methyl-4-oxazolecarbonyl-2-(aminomethoxymethyl)-4-thiazolecarbonyl-2-(1-amino-1-propenyl)-5-methyl-4-oxazolecarbonyl-2,3-didehydroalanyl-6-[2-(1-aminoethenyl)-4-oxazolyl]-5-(4-carboxy-2-thiazolyl)-2-pyridinecarbonyl-2,3-didehydroalanyl-2,3-didehydroalanyl-2,3-didehydro-,(6®1)-lactam (9CI)(102489-42-9)
- Name: Alaninamide,L-threonyl-2-(1-amino-1-butenyl)-5-methyl-4-oxazolecarbonyl-2-(aminomethoxymethyl)-4-thiazolecarbonyl-2-(1-amino-1-propenyl)-5-methyl-4-oxazolecarbonyl-2,3-didehydroalanyl-6-[2-(1-aminoethenyl)-4-oxazolyl]-5-(4-carboxy-2-thiazolyl)-2-pyridinecarbonyl-2,3-didehydroalanyl-2,3-didehydroalanyl-2,3-didehydro-,(6®1)-lactam (9CI)
- Synonyms:SulfomycinII
- Molecular Formula:C54H52 N16 O15 S2
- Molecular Weight:
- CAS Registry Number:102489-42-9
- EINECS:
- Melting Point:
- Water Solubility:
Other Product
- 5788-47-6/3-MERCAPTO-6-METHYLPYRIDAZINE
- 16707-85-0/DL-ALANINE HYDROXAMATE
- 82585-90-8/(5-Amino-1,2-dihydro-3-(((4-methoxyphenyl)methylamino)methyl)pyrido (- 3,4-b)pyrazin-7-yl)-, carbamic acid, ethyl ester
- 182828-62-2/Allatostatin 1(Schistocerca gregaria) (9CI)
- 24240-41-3/N-(3,4-dichlorophenyl)-6-nitro-1H-indazole-1-carboxamide
- 53584-57-9/(1alpha,2alpha,3beta,6beta)-1,2,3,6-tetrahydromethyl-3,6-methanophthalic anhydride
- 1792-88-7/2,4-dimethyl-3H-1,5-benzodiazepine
- 20341-16-6/N-[2-(1,3-benzodioxol-5-yl)ethyl]-2-(3,4-dimethoxyphenyl)acetamide
- 71929-29-8/2,4-Hexadienoic acid, (E,E)-, compd. with (4S-(4alpha,4aalpha,5aalpha,6beta,12aalpha))-4-(dimethylamino)-1,4,4a,5,5a,6,11,12a-octahydro-3,6,10,12,12a-pentahydroxy-6-methyl-1,11-dioxo-2-naphthacenecarboxamide
- 46158-00-3/(2E)-4,6-diamino-5-[(hydroxymethyl)amino]-2-iminopyrimidin-1(2H)-ol
- 69679-23-8/3'-Adenylic acid,5'-O-[bis(4-methoxyphenyl)phenylmethyl]-P-(4-chlorophenyl)-2'-deoxy-N-(2-methyl-1-oxopropyl)guanylyl-(3'®5')-N-benzoyl-2'-deoxy-,4-chlorophenyl 2-cyanoethyl ester (9CI)
- 104802-87-1/ethyl 3-(ethoxysulfinyl)propanoate
- 53725-11-4/ethyl 7-acetyl-6-hydroxy-3-methyl-1-benzofuran-2-carboxylate
- 171439-51-3/b-D-Glucopyranoside,2-(1E)-1-hepten-1-yl-4-hydroxy-3-(hydroxymethyl)phenyl
- 92200-88-9/Ethanol, 2-amino-,phosphonomethylated, partially reduced, ammonium salts
- 20985-72-2/2-amino-17-hydroxyandrostan-3-one
- 91081-20-8/Resin acids and Rosinacids, epoxidized
- 2089-12-5/4-AMINOOXYMETHYL-PHENOL
- 73698-57-4/2-Phenyl-2H-1,3,2-benzodiazaborole
- 102489-42-9/Alaninamide,L-threonyl-2-(1-amino-1-butenyl)-5-methyl-4-oxazolecarbonyl-2-(aminomethoxymethyl)-4-thiazolecarbonyl-2-(1-amino-1-propenyl)-5-methyl-4-oxazolecarbonyl-2,3-didehydroalanyl-6-[2-(1-aminoethenyl)-4-oxazolyl]-5-(4-carboxy-2-thiazolyl)-2-pyridinecarbonyl-2,3-didehydroalanyl-2,3-didehydroalanyl-2,3-didehydro-,(6®1)-lactam (9CI)
- 109190-61-6/matrigenin
- 199876-50-1/Castor oil, dehydrated,polymer with formaldehyde, glycerol, phenol, phthalic anhydride, rosin and tungoil
- 109282-28-2/2-bromo-7-oxabicyclo[2.2.1]heptane-2,3-dicarboxylic acid
- 13932-86-0/6,12-(Epoxy[1,2]benzeno)-12H-dibenzo[d,g][1,3,6,2]dioxazasilocine(9CI)
- 99148-80-8/aerodin
- 41846-93-9/a-D-Altrofuranose
- 15525-15-2/Tetraphenylphosphonium tetraphenylborate
- 120354-33-8/2-[3-(trifluoromethyl)phenyl]-3,5,6,7,8,9-hexahydro-4H-cyclohepta[4,5]thieno[2,3-d]pyrimidin-4-one
- 85554-77-4/N,N-dicyclohexylbenzothiazole-2-sulphonamide
- 93665-45-3/(E)-4-(3-Dibenzo(b,e)thiepin-11(6H)-ylidenepropyl)-1-piperazineethanol maleate (1:2)
