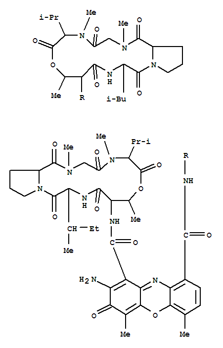
Actinomycin Au6b(8CI,9CI)(31516-90-2)
- Name: Actinomycin Au6b(8CI,9CI)
- Synonyms:ActinomycinD,2A-D-alloisoleucine-2B-D-leucine-5A-(N-methyl-D-valine)-5B-(N-methyl-D-valine)-;1H-Pyrrolo[2,1-i][1,4,7,10,13]oxatetraazacyclohexadecine, actinomycin D deriv.;3H-Phenoxazine, actinomycin D deriv.; 3H-Phenoxazine-1,9-dicarboxamide,2-amino-N1-[hexadecahydro-2,5,9-trimethyl-6-(1-methylethyl)-13-(1-methylpropyl)-1,4,7,11,14-pentaoxo-1H-pyrrolo[2,1-i][1,4,7,10,13]oxatetraazacyclohexadecin-10-yl]-N9-[hexadecahydro-2,5,9-trimethyl-6-(1-methylethyl)-13-(2-methylpropyl)-1,4,7,11,14-pentaoxo-1H-pyrrolo[2,1-i][1,4,7,10,13]oxatetraazacyclohexadecin-10-yl]-4,6-dimethyl-3-oxo-;Actinomycin Au6(I)
- Molecular Formula:C64H90 N12 O16
- Molecular Weight:
- CAS Registry Number:31516-90-2
- EINECS:
- Melting Point:
- Water Solubility:
Other Product
- 85507-78-4/Waste solids, tantalum powder manufg.
- 14867-22-2/(2E)-4-(dimethylamino)-6,10,11,12a-tetrahydroxy-2-{hydroxy[(piperazin-1-ylmethyl)amino]methylidene}-6-methyl-4a,5a,6,12a-tetrahydrotetracene-1,3,12(2H,4H,5H)-trione hydrochloride
- 165467-48-1/1,5,9,13-Tetraazacycloheptadecan-6-one,8-(8-oxoundecyl)- (9CI)
- 110282-68-3/Butanoic acid,4-[[(4-chlorophenyl)(2,5-dihydroxyphenyl)methylene]amino]-
- 30359-70-7/N-ethyl-6-(tribromomethyl)-1,3,5-triazine-2,4-diamine
- 25234-57-5/trimethyl[2-(stearoyloxy)ethyl]ammonium chloride
- 35923-99-0/3-(2-deoxypentofuranosyl)-2,3-dihydro-7H-[1,2,3]triazolo[4,5-d]pyrimidin-7-one
- 68967-21-5/1-butyl-6-({[4-({4-[(1-butylpyridinium-3-yl)carbamoyl]phenyl}carbamoyl)phenyl]carbonyl}amino)quinolinium bis(4-methylbenzenesulfonate)
- 145204-12-2/(4-aminobutanoyl)melittin
- 16424-31-0/5-oxomyristic acid
- 62295-13-0/N-[(1-ethyl-2-oxo-indol-3-ylidene)amino]quinoline-2-carbothioamide
- 116356-09-3/2-aziridin-1-yl-4-(4-chlorophenyl)-N-(4-ethoxyphenyl)-4-oxobutanamide
- 73395-59-2/1-ethenyl-1H-imidazole - dichloromanganese (4:1)
- 68440-55-1/Rapeseed oil fatty amide imidazoline quaternary sulfate
- 14023-85-9/hexaaminecobalt triacetate
- 33641-38-2/1,2,3-triphenylpropan-2-ylsulfonylbenzene
- 51317-66-9/4-MORPHOLINOPHENYL ISOTHIOCYANATE
- 13477-21-9/CADMIUM SULFATE TETRAHYDRATE
- 74327-29-0/4-Oxononan-1-al
- 31516-90-2/Actinomycin Au6b(8CI,9CI)
- 3007-74-7/N-N-DODECYLANILINE
- 15959-61-2/tetrapentylammonium
- 14923-81-0/cadmium diicosanoate
- 66834-87-5/(4aR,5S,7R,8aR)-7-methyl-5-[(2S)-piperidin-2-ylmethyl]decahydroquinoline
- 7344-94-7/perloline
- 142102-83-8/1-[(6R,8R,9R)-4-amino-9-{[tert-butyl(dimethyl)silyl]oxy}-6-({[tert-butyl(dimethyl)silyl]oxy}methyl)-2,2-dioxido-1,7-dioxa-2-thiaspiro[4.4]non-3-en-8-yl]-3-(prop-2-en-1-yl)pyrimidine-2,4(1H,3H)-dione
- 82682-94-8/Bis(2-bromoallyl) methylphosphate
- 38945-21-0/O-Allylhydroxylamine Hydrochloride
- 68092-73-9/Ethylene (3-isocyanatomethylphenyl)-carbamate
- 183582-31-2/5-benzyloxy-2-thiocyanatomethyl-4-pyranone
