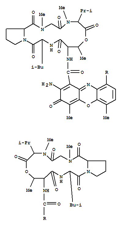
Actinomycin Au5(8CI,9CI)(27851-95-2)
- Name: Actinomycin Au5(8CI,9CI)
- Synonyms:ActinomycinD, 2A-D-leucine-2B-D-leucine-5A-(N-methyl-D-valine)-5B-(N-methyl-D-valine)-;1H-Pyrrolo[2,1-i][1,4,7,10,13]oxatetraazacyclohexadecine, actinomycin D deriv.;3H-Phenoxazine, actinomycin D deriv.; 3H-Phenoxazine-1,9-dicarboxamide,2-amino-N,N'-bis[hexadecahydro-2,5,9-trimethyl-6-(1-methylethyl)-13-(2-methylpropyl)-1,4,7,11,14-pentaoxo-1H-pyrrolo[2,1-i][1,4,7,10,13]oxatetraazacyclohexadecin-10-yl]-4,6-dimethyl-3-oxo-
- Molecular Formula:C64H90 N12 O16
- Molecular Weight:
- CAS Registry Number:27851-95-2
- EINECS:
- Melting Point:
- Water Solubility:
Other Product
- 69352-87-0/N-Carbamoyl-1-methyl-1-cyclohexanecarboxamide
- 172695-25-9/(S)-N-BOC-2-AMINO-3-PHENYLPROPYL CYANIDE
- 5363-65-5/1-[3-(3,4-dimethylphenoxy)propyl]piperidine
- 99614-01-4/ONDANSETRON HYDROCHLORIDE
- 125314-46-7/Guanidine,N-[3-[3-[2,5-dihydro-4-(1-methyl-1H-indol-3-yl)-2,5-dioxo-1H-pyrrol-3-yl]-1H-indol-1-yl]propyl]-N'-nitro-(9CI)
- 54651-43-3/see Insulin (Myxine glutinosa)
- 36652-38-7/NK 1583
- 25054-29-9/3-methylpenta-1,2,4-triene
- 61745-55-9/Barium N-(1-oxooctadecyl)-L-glutamate (1:1)
- 154029-40-0/Benzo[g]quinoline-5,10-dione,6,9-bis[(2-aminoethyl)amino]-, hydrochloride (1:3)
- 71673-01-3/3,4-Dihydro-2,2,4,7-tetramethyl-1(2H)-quinolineethanol hydrogen sulfate
- 5748-43-6/2'-METHYLBIPHENYL-4-CARBOXYLIC ACID
- 100447-49-2/2-ethyl-2,3-dihydro-1H-benzo[f]isoindole 2-hydroxypropane-1,2,3-tricarboxylate (salt)
- 41956-83-6/3-[3-(heptylsulfanyl)propyl]-1,3-thiazolidine hydrochloride
- 92653-69-5/3-[2-cyanoethyl-[(2-hydroxy-3,5-dimethyl-phenyl)methyl]amino]propanenitrile
- 811-92-7/TETRAMETHYLAMMONIUM METHYL SULFATE
- 96623-01-7/halenaquinol sulfate
- 3625-82-9/18-methylestradiol-3-methyl ether
- 63538-28-3/ethyl 2-[2,6-dichloro-4-[3,5-dichloro-4-(1-ethoxycarbonylheptoxy)phenoxy]phenoxy]octanoate
- 27851-95-2/Actinomycin Au5(8CI,9CI)
- 84912-13-0/naphth[1,8-cd]-1,2-oxathiole-6-sulphonic acid 2,2-dioxide
- 55837-21-3/Pipoxizine
- 27124-92-1/2-(cyclohex-1-en-1-yl)-1,3-dimethoxybenzene
- 91565-08-1/N-[2-(acetyl-propan-2-yl-amino)ethyl]-N-propan-2-yl-acetamide
- 59969-87-8/1-amino-4-[(4-chloro-3-sulphophenyl)amino]-9,10-dihydro-9,10-dioxoanthracene-2-sulphonic acid
- 18656-23-0/(E)-imino-N-{2-[(2-methylphenyl)(phenyl)methoxy]ethyl}methanediaminium (2E)-but-2-enedioate
- 6309-99-5/1-aziridin-1-yl-2-[4-(2-aziridin-1-yl-2-oxo-ethyl)phenyl]ethanone
- 4304-21-6/2-(diethylamino)ethyl 3,4,5-trimethoxybenzoate
- 82735-51-1/N-ethoxyacetylglycine
- 7413-02-7/3a,4,7,7a-Tetrahydro-4-methyl-1H-indene
