ACTH (15-24)(60063-06-1)
- Name: ACTH (15-24)
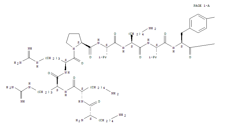
- Synonyms:L-Proline,1-[N-[N-[N2-[N-[1-[N2-[N2-(N2-L-lysyl-L-lysyl)-L-arginyl]-L-arginyl]-L-prolyl]-L-valyl]-L-lysyl]-L-valyl]-L-tyrosyl]-;15-24-ACTH
- Molecular Formula:C59H103 N19 O12
- Molecular Weight:1270.57
- CAS Registry Number:60063-06-1
- EINECS:
- Melting Point:
- Water Solubility:
Other Product
- 145296-54-4/2-(4-{2-hydroxy-3-[(1-methylethyl)amino]propoxy}-1H-indol-3-yl)acetamide hydrochloride
- 6414-32-0/2-(4-methoxyphenyl)-4-methyl-1,3-dioxolane
- 66052-32-2/methyl 2,5-dimethyl-2-vinylhex-4-enoate
- 76980-26-2/N-{[2-(benzyloxy)pyridin-3-yl]carbonyl}glycine
- 110525-42-3/bis(3-methylbutyl) 4-{2-[(difluoromethyl)sulfanyl]phenyl}-2,6-dimethyl-1,4-dihydropyridine-3,5-dicarboxylate
- 68746-91-8/7-butoxy-4-[(E)-2-(5-nitrofuran-2-yl)ethenyl]-2H-chromen-2-one
- 51410-46-9/2-(4-methoxyphenyl)-3-methyloxirane
- 38128-84-6/3-[[(Pentyloxy)imino]methyl]rifamycin
- 71630-99-4/Trimethylolpropane ester of heptanoic, octanoic, nonanoic, decanoicand undecanoic acids
- 68131-69-1/Tall oil fatty acids, phthalic anhydride, ethylene glycol, maleic anhydride, glycerin, pentaerythritol polymer
- 25758-23-0/Phosphorocyanidousdiamide (8CI,9CI)
- 93501-47-4/2,3-Dihydro-5-oxo-N-2-thiazolyl-5H-thiazolo(3,2-a)pyrimidine-6-carboxamide
- 10588-10-0/ISOBUTYL VALERATE
- 1392-58-1/Mycetin
- 16783-22-5/octahydro-1H-inden-1-one
- 31545-26-3/4-CHLORO-3-NITROPHENYL CYCLOPROPYL KETONE
- 83763-29-5/alpha-ethyl-4-phenylpiperidine-4-methanol
- 80941-03-3/30583-72-3
- 68917-20-4/Oils,mandarin,terpene-free
- 60063-06-1/ACTH (15-24)
- 27078-28-0/2-[2-(4-chlorophenyl)ethoxy]-N,N-diethyl-ethanamine
- 24735-35-1/disodium oxobis[sulphato(2-)-O]zirconate(2-)
- 7179-09-1/1,4-BIS(1-HYDROXYCYCLOPENTYL)-1,3-BUTADIYNE
- 1118-02-1/TRIMETHYLSILYL ISOCYANATE
- 51833-66-0/1-[2-deoxy-5-O-(naphthalen-1-ylcarbamoyl)pentofuranosyl]-5-methylpyrimidine-2,4(1H,3H)-dione
- 2679-14-3/3-(METHYLAMINO)PROPIONIC ACID
- 14240-02-9/Pentammine, fluorocobalt(III) nitrate complex
- 2092-49-1/6,6'-DIHYDROXY-5,5'-DIMETHOXY-[1,1'-BIPHENYL]-3,3'-DICARBOXALDEHYDE
- 89398-08-3/7-Benzyl-9-phenyl-3-thia-7-azabicyclo(3.3.1)nonan-9-ol
- 67658-64-4/1,1-Dimethyl-3-(6-methyl-8-beta-ergolenylmethyl)sulfonamide
