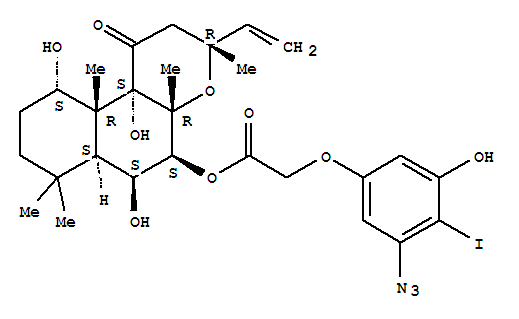
7-forskolinyl-2-(3-azido-5-hydroxy-4-iodophenoxy)acetate(126869-27-0)
- Name: 7-forskolinyl-2-(3-azido-5-hydroxy-4-iodophenoxy)acetate
- Synonyms:1H-Naphtho[2,1-b]pyran,acetic acid deriv.
- Molecular Formula:C28H36 I N3 O9
- Molecular Weight:685.50461
- CAS Registry Number:126869-27-0
- EINECS:
- Melting Point:
- Water Solubility:
Other Product
- 6323-75-7/N,N-dibutylpent-2-yn-1-amine
- 68477-43-0/Distillates, petroleum, heavy naphthenic, mixed with light steam-cracked petroleum naphtha C5 fraction-steam-cracked petroleum distillates C5-10 fraction polymers, post-polymd.
- 130683-72-6/Thymidine,3'-azido-3'-deoxy-, 5'-decanoate (9CI)
- 5345-20-0/methyl 2,2-bis[2-(4-nitrophenyl)ethyl]-3-oxobutanoate
- 54451-24-0/LANTHANUM CARBONATE
- 54946-44-0/methyl 5-[(2-bromoethyl)amino]-5-deoxy-2,3-O-(1-methylethylidene)pentofuranoside
- 50724-03-3/N,N-diethyl-2-[2-methoxy-4-(prop-2-en-1-yl)phenoxy]ethanamine
- 21880-64-8/Thomasic acid
- 89149-10-0/(S)-15-Deoxyspergualin
- 22824-31-3/5,5,8,8-tetraMethyl-5,6,7,8-tetrahydronaphthalen-2-ol
- 69405-74-9/4-bromo-6-(morpholin-4-ylmethyl)-2-phenyl-1-benzofuran-5-ol
- 116169-73-4/N-methyl-4-methyldiphenhydramine
- 6359-73-5/Mordant Green 26
- 34205-43-1/diethyl[2-(2-methoxyphenoxy)-2-oxoethyl]ammonium [2S-[2alpha,5alpha,6beta(S*)]]-6-[(aminophenylacetyl)amino]-3,3-dimethyl-7-oxo-4-thia-1-azabicyclo[3.2.0]heptane-2-carboxylate
- 7239-73-8/3a,7a-dihydro-1-benzofuran-2,5(3H,4H)-dione 5-oxime
- 30804-92-3/1-[4-methyl-6-(trichloromethyl)-1,3,5-triazin-2-yl]-3-phenylurea
- 88799-63-7/2H-Pyrido(3,2-b)-1,4-oxazin-3(4H)-one, 2-phenyl-4-(2-phenylethyl)-, monohydrochloride
- 55687-49-5/[4-[(2,4-diaminopyrimidin-5-yl)methyl]-2,6-dimethoxy-phenyl]methanol
- 220749-23-5/1H-Indeno[5'',4'':4',5']cyclohepta[1',2':3,4]benz[1,2-d][1,3]oxazine,10-ethenyl-3,4,4a,5,6,9,9a,10,11,12,12a,12b,13,14,14a,14b-hexadecahydro-4,9a,12a,14b-tetramethyl-,(4aS,9aR,10R,12aS,12bR,14aR,14bS)-
- 126869-27-0/7-forskolinyl-2-(3-azido-5-hydroxy-4-iodophenoxy)acetate
- 58000-63-8/methyl (41R,12R,13aS)-13a-ethyl-12-hydroxy-2,3,41,5,6,12,13,13a-octahydro-1H-indolo[3,2,1-de]pyrido[3,2,1-ij][1,5]naphthyridine-12-carboxylate
- 9027-70-7/Adenosine diphosphate sulfurylase
- 85901-34-4/(2,5-dioxo-4,4-diphenylimidazolidin-1-yl)methyl pentanoate
- 9030-51-7/Kinase (phosphorylating),fructo-
- 12042-91-0/ALUMINUM CHLOROHYDRATE
- 70373-49-8/2-CYANO-N-(1,5-DIMETHYL-3-OXO-2-PHENYL-2,3-DIHYDRO-1H-PYRAZOL-4-YL)-ACETAMIDE
- 152340-54-0/3-Pyridinecarboxylicacid,(3R,4R,5R,5aS,6R,7S,9S,9aS,10R)-6-(acetyloxy)-5a-[(acetyloxy)methyl]-5-(benzoyloxy)octahydro-9-hydroxy-2,2,9-trimethyl-2H-3,9a-methano-1-benzoxepin-4,7,10-triylester (9CI)
- 1767-81-3/2,3-Naphthalenedioltin(2+) salt (1:1) ;;
- 85178-53-6/Benz[a]anthracen-1(2H)-one,3,4,6a,7,12,12ahexahydro- 6a,7,12-trihydroxy-8-methoxy-3- methyl-,(3R,6aR,7S,12R,12aR)-rel-(+)-
- 79553-43-8/Propanenitrile,2,3-dibromo-,mixt. with 1,1,1-trichloro-2-nitroethane
