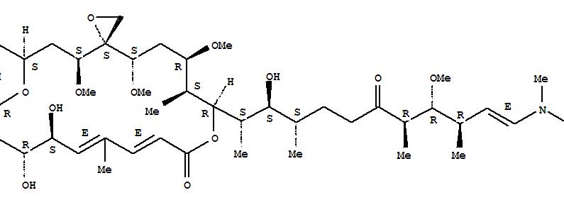
6-hydroxyscytophycin B(132368-18-4)
- Name: 6-hydroxyscytophycin B
- Synonyms:Formamide,N-[(1E,3R,4R,5R,9S,10S,11S)-10-hydroxy-11-[(1S,2'S,3S,5S,7R,8S,9R,12E,14E,16S,17R,19R)-16,17-dihydroxy-3,5,7-trimethoxy-8,14-dimethyl-11-oxospiro[10,23-dioxabicyclo[17.3.1]tricosa-12,14,20-triene-4,2'-oxiran]-9-yl]-4-methoxy-3,5,9-trimethyl-6-oxo-1-dodecenyl]-N-methyl-(9CI); Scytophycin B, 6-hydroxy-;Spiro[10,23-dioxabicyclo[17.3.1]tricosane-4,2'-oxirane], scytophycin B deriv.;6-Hydroxyscytophycin B
- Molecular Formula:C45H73 N O13
- Molecular Weight:836.06
- CAS Registry Number:132368-18-4
- EINECS:
- Melting Point:
- Water Solubility:
Other Product
- 274-98-6/[1,2,4]triazolo[4,3-a]pyrimidine
- 24845-11-2/3-(3,4-dimethoxyphenyl)-1-(4-hydroxyphenyl)-2-phenyl-prop-2-en-1-one
- 1745-06-8/Isoquinoline,1,2,3,4-tetrahydro-5,6,7-trimethoxy-
- 39670-15-0/acrylic acid, tin salt
- 6106-51-0/8-formyl-4-hydroxy-N-(2-hydroxyethyl)-6-methoxy-3-{[(7-methoxy-1-benzofuran-2-yl)carbonyl][2-(2-methoxyphenyl)ethyl]amino}-3,4,4a,9b-tetrahydrodibenzo[b,d]furan-1-carboxamide
- 90580-84-0/NSC28039
- 81717-34-2/Ethanediamide,N-[4-[[[[(2-hydroxyethyl)amino]oxoacetyl]amino]sulfonyl]phenyl]-N'-(2-methylpropyl)-(9CI)
- 83392-48-7/ethyl 5-(2,4-dihydroxyphenyl)-5-methyl-4-oxo-2-phenyl-4,5-dihydro-1H-pyrrole-3-carboxylate
- 1002-35-3/1.3.7-OCTATRIENE
- 7062-67-1/5-[2-(4-bromophenyl)-2-oxoethyl]-2-{2-[(2-phenyl-3H-indol-3-ylidene)methyl]hydrazino}-1,3-thiazol-4(5H)-one
- 7068-06-6/methyl 4-{3-[hydroxy(2-methylimidazo[1,2-a]pyridin-3-yl)methylidene]-1-(2-methoxyethyl)-4,5-dioxopyrrolidin-2-yl}benzoate
- 148372-27-4/2-[(4,7-dimethyl-3-phenyl-1H-indol-2-yl)carbonyl]-N-phenylhydrazinecarbothioamide
- 93804-85-4/5-Oxo-L-proline, compound with N,N,alpha-trimethyl-10H-phenothiazine-10-ethylamine (1:1)
- 5575-28-0/(4Z)-1-(3-chlorophenyl)-4-(3,4-dimethoxybenzylidene)pyrazolidine-3,5-dione
- 21120-91-2/1-Bromobenzocyclobutene
- 18677-41-3/2,6-DIMETHOXY-3-NITROPYRIDINE
- 79641-29-5/1-amino-4-[[5-[(2-hydroxyethyl)sulphonyl]-2-methoxyphenyl]amino]anthraquinone
- 132368-18-4/6-hydroxyscytophycin B
- 84696-95-7/5-(5-chloro-1,3-dihydro-1,3-dimethyl-2H-benzimidazol-2-ylidene)-4-oxo-2-thioxothiazolidin-3-acetic acid
- 7338-78-5/3-(5-OXO-3-THIOXO-2,3,4,5-TETRAHYDRO-[1,2,4]TRIAZIN-6-YL)-PROPIONIC ACID
- 90530-27-1/2-Propenoic acid,hexacosyl ester, branched
- 1800-74-4/N-(3-chloro-7-fluoro-9-oxo-9H-fluoren-2-yl)acetamide
- 54651-08-0/ribo-oligonucleotide A(7)U(7)
- 73338-83-7/4H-1-Benzopyran-4-one,7-[(2-O-b-D-glucopyranosyl-b-D-glucopyranosyl)oxy]-5,6-dihydroxy-2-(4-hydroxy-3-methoxyphenyl)-
- 53766-41-9/[2]Benzopyrano[4,3-b][1]benzopyran-7(5H)-one,3,4,8,10-tetrahydroxy-9-methoxy-
- 5340-16-9/6-(dimethylamino)-4,4-diphenylheptanoic acid
- 106153-12-2/Plasvita TSM
- 90028-02-7/Digitalis luteaaustralis, ext.
- 23039-94-3/TRIS(3-FLUOROPHENYL)PHOSPHINE
- 167504-53-2/Cyclohexanamine,2-[[4-(2-benzoxazolyl)phenyl]methoxy]-, monohydrochloride, (1R,2R)-rel- (9CI)
