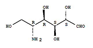
5-amino-5-deoxymannopyranoside(91364-22-6)
- Name: 5-amino-5-deoxymannopyranoside
- Synonyms:5-amino-5-deoxymannopyranoside
- Molecular Formula:C6H13 N O5
- Molecular Weight:0
- CAS Registry Number:91364-22-6
- EINECS:
- Melting Point:
- Water Solubility:
Other Product
- 35084-48-1/1-(ADAMANTANE-1-CARBONYL)-PYRROLIDINE-2-CARBOXYLIC ACID
- 489-39-4/(+)-AROMADENDRENE
- 111129-55-6/1,3,5-Naphthalenetrisulfonicacid,8,8'-[1,3-phenylenebis[carbonylimino-3,1-phenylenecarbonylimino(4-methyl-3,1-phenylene)carbonylimino]]bis-,hexasodium salt (9CI)
- 154336-16-0/Isophthalic acid, adipic acid, 1,6-hexanediol, toluene diisocyanate, methylenebis(phenylisocyanate) polymer
- 71595-57-8/hexadecyl-N-methylpiperidinium
- 31889-45-9/[4,4'-Bipyridine]-1,1'(4H,4'H)-dicarboxylicacid, 1,1'-diethyl ester
- 2909-91-3/2,2-Diphenyl-2-ethoxyacetic acid (1-ethyl-4-piperidyl) ester hydrochlo ride
- 85223-15-0/2'-(4-acetylphenylamino)-6'-(dibutylamino)spiro[isobenzofuran-1(3H)-9'(9H)-xanthene]-3-one
- 1810-78-2/2,2,4,6-tetramethyl-1,2-dihydroquinoline
- 107494-21-3/L-Leucinamide,N,N-dimethyl-L-phenylalanyl-(3S)-3-(4-formylphenoxy)-L-leucyl- (9CI)
- 59459-26-6/12H-Phthaloperin-12-one, 8,9,10,11-tetrachloro-
- 28664-03-1/ethyl 3-(2-ethoxy-2-oxoethyl)-2,2-dimethylcyclobutanecarboxylate
- 16271-10-6/O,S-diethyl phosphoramidothioate
- 67650-31-1/1,1a,2,2,3,3a,4,5,5a,5b-decachlorooctahydro-1H-1,3,4-(methanetriyl)cyclobuta[cd]pentalene
- 22118-09-8/Bromoacetyl chloride
- 220456-85-9/Olean-12-en-28-oic acid,3-[[O-6-deoxy-R-L-mannopyranosyl- (1f6)-O-â-D-glucopyranosyl-(1f3)-O-2- O-[(2E)-3-(3-hydroxy-4-methoxyphenyl)-1- oxo-2-propenyl]-â-D-glucopyranosyl-(1f4)- O-â-D-glucopyranosyl-(1f4)-O-â-Dribopyranosyl-( 1f3)-O-6-deoxy-R-Lmannopyranosyl-( 1f2)-R-L-arabinopyranosyl]- oxy]-,O-6-deoxy-R-L-mannopyranosyl- (1f4)-O-â-D-glucopyranosyl-(1f6)-â-Dglucopyranosyl ester,(3â)-
- 67210-51-9/3-{[(2E)-2-(3,4-dimethoxyphenyl)-3-phenylprop-2-enoyl]oxy}-8-methyl-8-azoniabicyclo[3.2.1]octane 2-[(4-hydroxyphenyl)carbonyl]benzoate
- 131966-72-8/N-Diazirinyl-lyso-G(M1)
- 356-28-5/VINYL HEPTAFLUOROBUTYRATE
- 91364-22-6/5-amino-5-deoxymannopyranoside
- 29150-52-5/Phosphine imide,P,P-difluoro-P-isothiocyanato-
- 67879-81-6/Glycosolone
- 23835-10-1/2-Naphthalenesulfonicacid,5-[[2-chloro-6-[(3-sulfophenyl)amino]-4-pyrimidinyl]amino]-4-hydroxy-3-(2-phenyldiazenyl)-,sodium salt (1:2)
- 4431-46-3/4H-1-Benzopyran-4,5,8-trione,2,3-dihydro- 2-phenyl-
- 83811-83-0/1,2,3,4-tetrahydro-6-methoxyquinolinium chloride
- 62780-76-1/5-chloro-1,3-dihydro-1-(3-hydroxypropyl)-2H-benzimidazol-2-one
- 97676-30-7/English oak plant extract
- 18796-02-6/1-HYDROXY-2,2,4,5,5-PENTAMETHYL-3-IMIDAZOLINE-3-OXIDE
- 2824-86-4/2β-(1-Hydroxy-1-methylethyl)-4-methoxy-2,3-dihydrofuro[2,3-b]quinoline
- 93962-85-7/ammonium diheptylnaphthalenesulphonate
