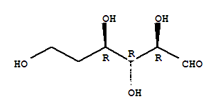
5-Deoxy-D-ribo-hexose(6829-62-5)
- Name: 5-Deoxy-D-ribo-hexose
- Synonyms:5-Deoxy-D-ribo-hexose;Homoribose
- Molecular Formula:C6H12 O5
- Molecular Weight:164.15648
- CAS Registry Number:6829-62-5
- EINECS:
- Melting Point:
- Water Solubility:
Other Product
- 185847-12-5/Formamide,N-[11-((15-hydroxy-9-methoxy-10,20-dimethyl-6,8,11,17-tetraoxo-3,18,26-trioxa-7,28,29-triazatricyclo[23.2.1.12,5]nonacosa-2(29),4,12,23,25(28),27-hexaen-19-yl))-4,10-dimethoxy-5,9-dimethyl-6-oxo-1-undecen-1-yl]-N-methyl-,(-)-
- 89998-96-9/1-(4-chlorophenyl)-1-(5,7-dibromo-1-benzofuran-2-yl)-2-phenylethanol
- 3927-60-4/Methylhydrogenhendecanedioate
- 100403-51-8/Mica-group minerals, reaction products with 6-ethenyl-6-(2-methoxyethoxy)-2,5,7,10-tetraoxa-6-silaundecane
- 70248-26-9/Carboxylic acids, C6-18and C6-18-unsatd. mono- and C8-15 di-, distn. residues
- 44513-97-5/dichlorodinitrosylmolybdenum
- 77761-61-6/Oxacyclotetradec-6-en-2-one,12-hydroxy-14-methyl-, (6Z,12R,14R)-rel-
- 5562-50-5/N-(3,4,5-trimethoxybenzyl)tricyclo[3.3.1.1~3,7~]decan-1-amine
- 55956-51-9/6,10-Cyclo-19-norcholestane(9CI)
- 1072-05-5/2,6-Dimethylheptane
- 30289-16-8/(diethylamino)({[(1Z)-1-phenylethylidene]amino}oxy)methanone
- 54594-42-2/4a-methyl-7-propan-2-yl-decalin-2-one
- 6626-47-7/2-{4-[diethyl(methyl)ammonio]butyl}-2-methyloctahydro-1H-isoindolium
- 97510-41-3/1H-Indene-1-carboxylicacid,octahydro-1,3a-dimethyl-6-(1-methylethyl)-7-[(1-oxo-3-phenyl-2-propen-1-yl)oxy]-,(1R,3aS,6S,7R,7aR)-
- 5712-37-8/2-(ethylsulfanyl)ethyl 4-(3-bromophenyl)-2-methyl-5-oxo-7-phenyl-1,4,5,6,7,8-hexahydroquinoline-3-carboxylate
- 111380-09-7/1-methyl-4-nitroso-5-phenyl-1H-imidazole
- 6829-62-5/5-Deoxy-D-ribo-hexose
- 104549-41-9/1,2,3,4-TETRABROMODIBENZO-PARA-DIOXIN
- 17816-01-2/1-isothiocyanato-4-[2-(4-methylphenyl)ethenyl]benzene
- 93762-71-1/Acrodiclidium gracile,ext.
- 7241-33-0/3-benzyl-7-methoxy-6-phenylimidazo[1,2-b][1,2,4,5]tetrazine
- 5432-72-4/(1-acetylbenzoimidazol-2-yl) acetate
- 67566-09-0/methyl 3-(4-methoxy-3,6-dioxocyclohexa-1,4-dien-1-yl)propanoate
- 59898-60-1/3-ETHYL-2-MERCAPTO-5,6-DIMETHYLTHIENO[2,3-D]PYRIMIDIN-4(3H)-ONE
- 21316-19-8/ethanesulfonic acid - 3-({3-[4-(4,6-diamino-2,2-dimethyl-1,3,5-triazin-1(2H)-yl)phenyl]acryloyl}amino)benzenesulfonyl fluoride (1:1)
- 77375-20-3/dodecyl dithiocarbamate
- 5421-25-0/1-phenoxypropan-2-yl hexanoate
- 24481-51-4/1,3,5-Triazine,2-(3,4-dichlorophenyl)-4,6-bis(trichloromethyl)-
- 4342-04-5/(4Z)-4-(3,3-dipropyltriazanylidene)-4H-imidazole-5-carboxamide
- 374-47-0/Butane,1,1,1-trichloro-2,2,3,3-tetrafluoro-
